Open Access

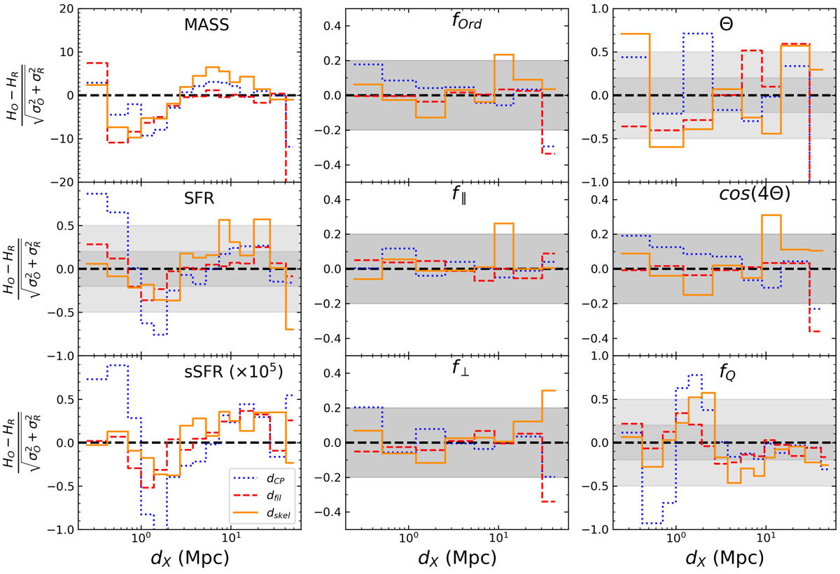
Fig. 11.

image

Download original image

Differences between the original distributions HO and the re-shuffled ones HR, normalised to the sum in quadrature of their errors (σO and σR, respectively) for the quantities ⟨M*⟩, ⟨SFR⟩, ⟨sSFR⟩, ⟨θ⟩, ⟨cos(4θ)⟩, fraction of quenched galaxies (fQ), fraction of ordered galaxies (fOrd), fraction of parallel galaxies (f), and fraction of perpendicular galaxies (f) as a function of the distances from the features of the cosmic web dfil (dashed red line in every panel), dCP (dotted blue line in every panel), and dskel (solid orange line in every panel). In the case of dCP and dskel, only galaxies outside of filaments (dfil ≥ 1 Mpc) and inside filaments (dfil ≤ 1 Mpc) have been considered, respectively. In all panels except for ⟨M*⟩ and ⟨sSFR⟩ (where they would have encompassed the whole range on the y-axis), light grey and dark grey areas show the 0.5σ and 0.2σ range, respectively.

Current usage metrics show cumulative count of Article Views (full-text article views including HTML views, PDF and ePub downloads, according to the available data) and Abstracts Views on Vision4Press platform.

Data correspond to usage on the plateform after 2015. The current usage metrics is available 48-96 hours after online publication and is updated daily on week days.

Initial download of the metrics may take a while.