Open Access

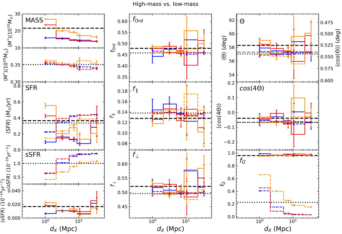
Fig. 12.

image

Download original image

Distributions of ⟨M*⟩, ⟨SFR⟩, ⟨sSFR⟩, ⟨θ⟩, ⟨cos(4θ)⟩, fraction of quenched galaxies (fQ), fraction of ordered galaxies (fOrd), fraction of parallel galaxies (f), and fraction of perpendicular galaxies (f) as a function of the distances from the features of the cosmic web dfil (red line in every panel), dCP (blue line in every panel), and dskel (orange line in every panel) and split between high- and low-mass galaxies. In the case of dCP and dskel, only galaxies outside of filaments (dfil ≥ 1 Mpc) and inside filaments (dfil ≤ 1 Mpc) have been considered, respectively. Error bars on the distributions have been computed through bootstrap resampling. The dashed black (dotted) line in every panel is the average of the considered quantity in the full simulation box considering only high-mass (low-mass) galaxies. In the top and middle panel of the central column, the grey line is and , computed given Eqs. (3) and (4) for the total subhalo sample. In each panel, solid lines refer to high-mass galaxies and dashed lines to low-mass galaxies. In the case of mass and sSFR, the panel has been split in two to take the very different ranges on the y-axis occupied by the distributions into account. In every panel, the first distance bin we considered extends all the way to zero for all distances, but it is cut because the x-axis is in logarithmic scale.

Current usage metrics show cumulative count of Article Views (full-text article views including HTML views, PDF and ePub downloads, according to the available data) and Abstracts Views on Vision4Press platform.

Data correspond to usage on the plateform after 2015. The current usage metrics is available 48-96 hours after online publication and is updated daily on week days.

Initial download of the metrics may take a while.