Open Access

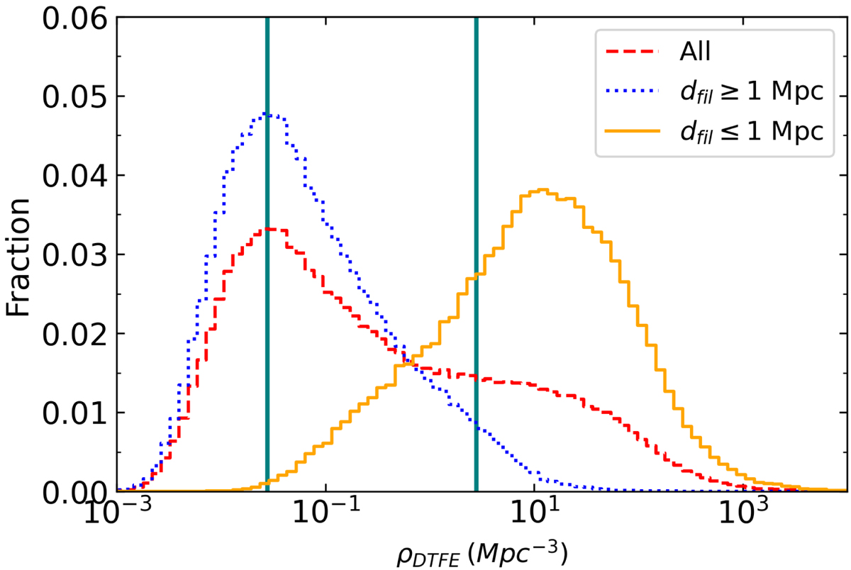
Fig. 8.

image

Download original image

Distributions of density (ρDTFE) as measured through the DTFE value output by DisPerSE at the position of each galaxy. The dashed red line refers to the total population of galaxies, the dotted blue line to the galaxies outside of filaments, and the solid yellow line to the galaxies inside filaments. The two vertical blue lines represent the 25th and 75th percentiles of the total distribution.

Current usage metrics show cumulative count of Article Views (full-text article views including HTML views, PDF and ePub downloads, according to the available data) and Abstracts Views on Vision4Press platform.

Data correspond to usage on the plateform after 2015. The current usage metrics is available 48-96 hours after online publication and is updated daily on week days.

Initial download of the metrics may take a while.