Open Access

Fig. 14.

image

Download original image

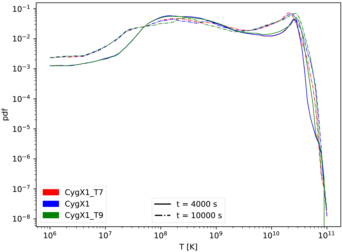
Comparison between runs CygX1 (red), CygX1_T7 (blue) and CygX1_T9 (magenta). Probability density function of the temperature at t = 4000 s (full lines) and t = 10 000 s (dash-dotted lines). In the early stages, CygX1 and CygX1_T7 are indistinguishable from each other, while CygX1_T9 is slightly hotter and more of its volume is hotter than ∼5 × 109 K. In the mixing phase, the temperature repartition is more in line with the injected temperature.

Current usage metrics show cumulative count of Article Views (full-text article views including HTML views, PDF and ePub downloads, according to the available data) and Abstracts Views on Vision4Press platform.

Data correspond to usage on the plateform after 2015. The current usage metrics is available 48-96 hours after online publication and is updated daily on week days.

Initial download of the metrics may take a while.