Open Access

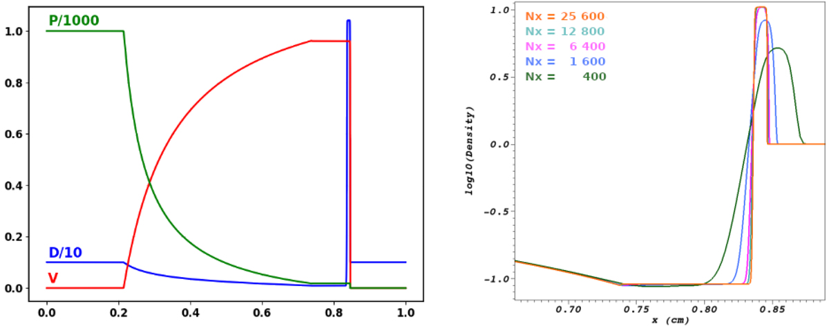
Fig. C.1.

image

Download original image

Solution of the relativistic blast problem with a Lorentz factor γ = 6 shock detailed in the text at time t = 0.35. Left: Pressure (P), density (D), and velocity (V) as computed on a very fine mesh (25600 cells) showing the shock, the contact discontinuity, and the rarefaction fan. Right: Zoom into the thin high-density layer between the shock and the contact discontinuity. This feature is the most difficult to resolve. We show the solutions based on different resolutions: 400 cells (black), 1600 cells (blue), 6400 cells (pink), 12800 cells (green), and 25600 cells (orange).

Current usage metrics show cumulative count of Article Views (full-text article views including HTML views, PDF and ePub downloads, according to the available data) and Abstracts Views on Vision4Press platform.

Data correspond to usage on the plateform after 2015. The current usage metrics is available 48-96 hours after online publication and is updated daily on week days.

Initial download of the metrics may take a while.