Fig. 6

image

Download original image

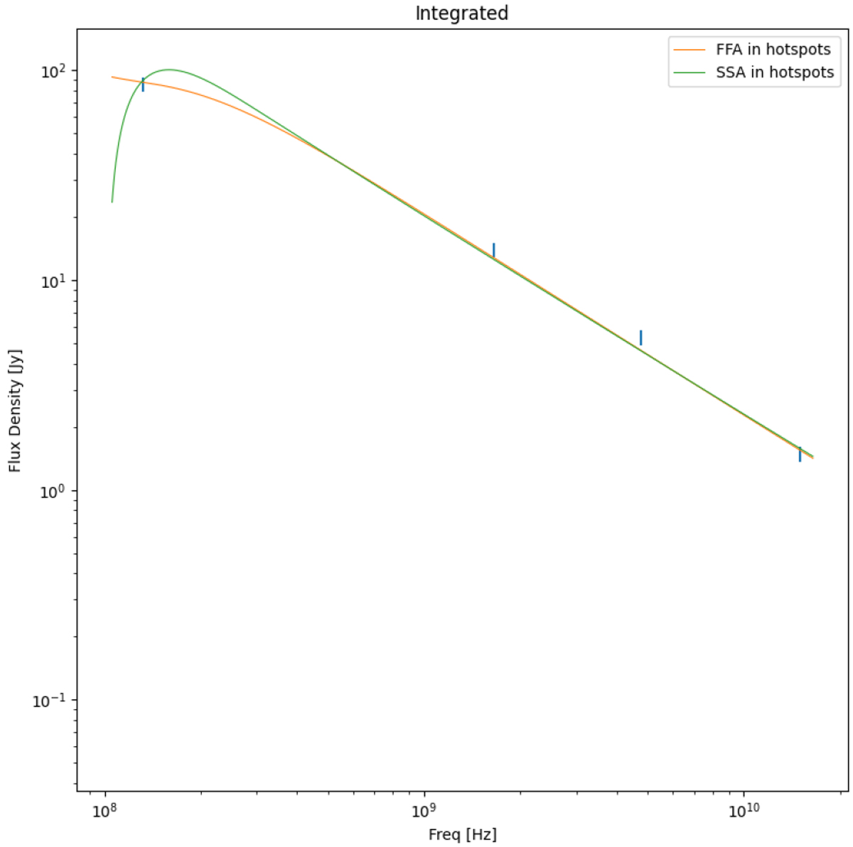
Integrated spectral energy distribution, created by taking the sum of the component fluxes at each frequency, and the sum of the power-law best-fit curves of the lobes with the FFA and SSA best-fit curves, respectively, to show the overall fit tothe source in both cases.

Current usage metrics show cumulative count of Article Views (full-text article views including HTML views, PDF and ePub downloads, according to the available data) and Abstracts Views on Vision4Press platform.

Data correspond to usage on the plateform after 2015. The current usage metrics is available 48-96 hours after online publication and is updated daily on week days.

Initial download of the metrics may take a while.