Open Access

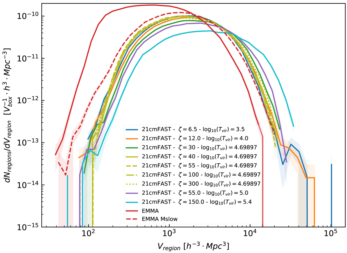
Fig. 19.

image

Download original image

Probability distribution functions of the volume of segmentation patches for every 21cmFAST and EMMA simulation. Here, all the patches of each 64 runs for one specific model are accumulated.

Current usage metrics show cumulative count of Article Views (full-text article views including HTML views, PDF and ePub downloads, according to the available data) and Abstracts Views on Vision4Press platform.

Data correspond to usage on the plateform after 2015. The current usage metrics is available 48-96 hours after online publication and is updated daily on week days.

Initial download of the metrics may take a while.