Open Access

Fig. 6

image

Download original image

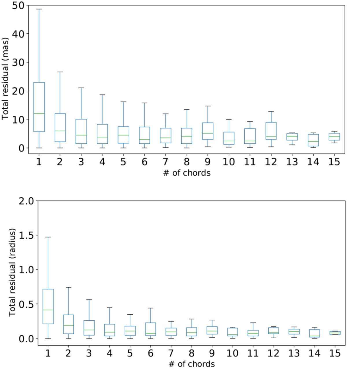
Distribution of total residuals on occultation astrometry (quadratic sum of AC and AL residuals), obtained by fitting the astrometry derived by occultations only, as a function of the number of chords. All occultations have been reduced by adopting stellar positions available in Gaia EDR3. A few events with stars not in Gaia EDR3 have not been considered. Top panel: residual in mas. Bottom: residual normalised to the apparent asteroid radius at the epoch of the event.

Current usage metrics show cumulative count of Article Views (full-text article views including HTML views, PDF and ePub downloads, according to the available data) and Abstracts Views on Vision4Press platform.

Data correspond to usage on the plateform after 2015. The current usage metrics is available 48-96 hours after online publication and is updated daily on week days.

Initial download of the metrics may take a while.