Open Access

Fig. 11.

image

Download original image

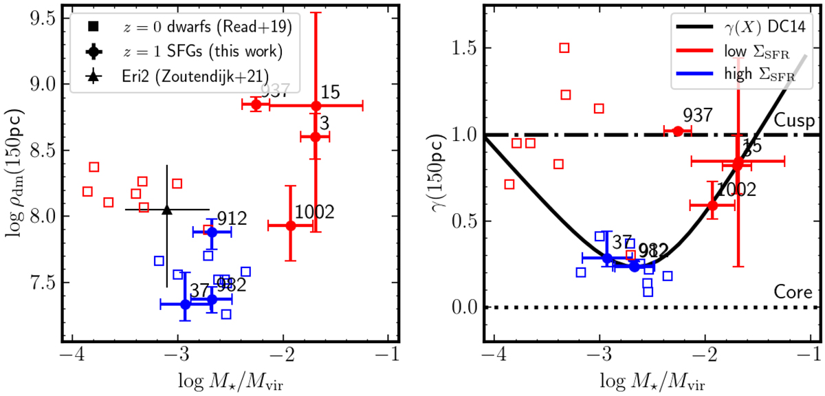
Left: DM density at 150 pc as a function of log M/Mvir. The blue (red) solid circles with error bars (2σ) show our SFGs, except ID919 and 943. Right: DM inner slope γ parameter at 150 pc as a function of log M/Mvir. The blue (red) squares represent the z ≈ 0 dwarfs from Read et al. (2019) whose SFR was truncated less (more) than 6 Gyr ago. The blue (red) solid circles with error bars (2σ) show our SFGs with high (low) ΣSFR, respectively.

Current usage metrics show cumulative count of Article Views (full-text article views including HTML views, PDF and ePub downloads, according to the available data) and Abstracts Views on Vision4Press platform.

Data correspond to usage on the plateform after 2015. The current usage metrics is available 48-96 hours after online publication and is updated daily on week days.

Initial download of the metrics may take a while.