Free Access

Fig. A.2

image

Download original image

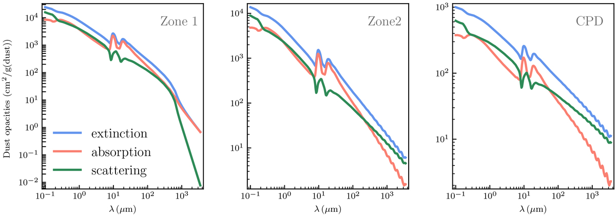
Extinction, absorption, and scattering opacities computed for the dust grains populating each zone of the model. The wiggles observed at λ > 300 μm are a numerical artefact product of the implementation of a continuous size distribution in the form of discrete bins.

Current usage metrics show cumulative count of Article Views (full-text article views including HTML views, PDF and ePub downloads, according to the available data) and Abstracts Views on Vision4Press platform.

Data correspond to usage on the plateform after 2015. The current usage metrics is available 48-96 hours after online publication and is updated daily on week days.

Initial download of the metrics may take a while.