Free Access

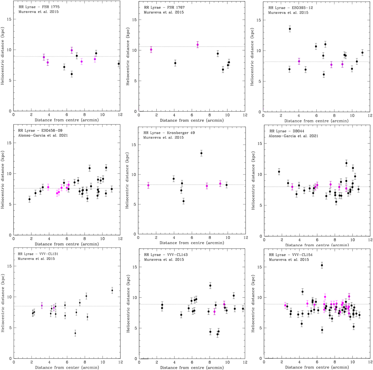
Fig. 12.

image

Download original image

Spatial distribution of RR Lyrae variable stars detected within 12′ from GC centres. The magenta points represent the RR Lyrae that are considered cluster members. The distance error bars are of 0.5 kpc for each point. The dotted line depicts the heliocentric distance derived from the VVV photometry.

Current usage metrics show cumulative count of Article Views (full-text article views including HTML views, PDF and ePub downloads, according to the available data) and Abstracts Views on Vision4Press platform.

Data correspond to usage on the plateform after 2015. The current usage metrics is available 48-96 hours after online publication and is updated daily on week days.

Initial download of the metrics may take a while.