Free Access

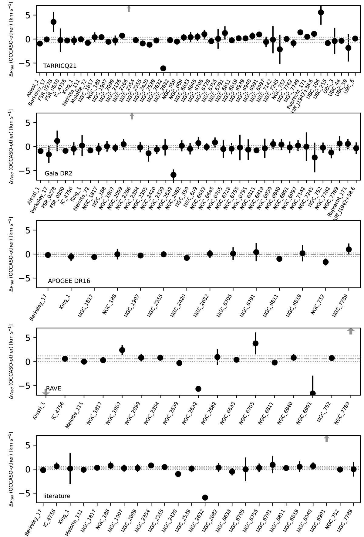
Fig. 8.

image

Download original image

Comparison of average cluster radial velocities with different values available in the literature for each cluster. Arrows denote that the value is outside the panel range. Dashed and dotted lines show the median and the MAD of the differences as listed in Table 6, respectively.

Current usage metrics show cumulative count of Article Views (full-text article views including HTML views, PDF and ePub downloads, according to the available data) and Abstracts Views on Vision4Press platform.

Data correspond to usage on the plateform after 2015. The current usage metrics is available 48-96 hours after online publication and is updated daily on week days.

Initial download of the metrics may take a while.