Free Access

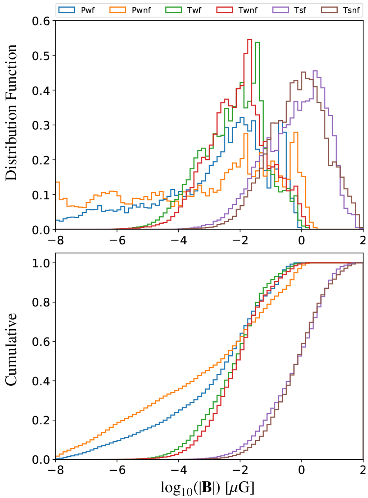
Fig. 1

image

Download original image

Normalized distribution (top) and cumulative distribution (bottom) of the mass-weighed magnetic field strength (log10 (|B|)) in the disk region for each simulation as indicated by the legend. We define the disk region as a vertical cylinder centered on the center of the simulation box, with radius of 15 kpc and extending up to 500 pc above and below the plan Z = 0.

Current usage metrics show cumulative count of Article Views (full-text article views including HTML views, PDF and ePub downloads, according to the available data) and Abstracts Views on Vision4Press platform.

Data correspond to usage on the plateform after 2015. The current usage metrics is available 48-96 hours after online publication and is updated daily on week days.

Initial download of the metrics may take a while.