Free Access

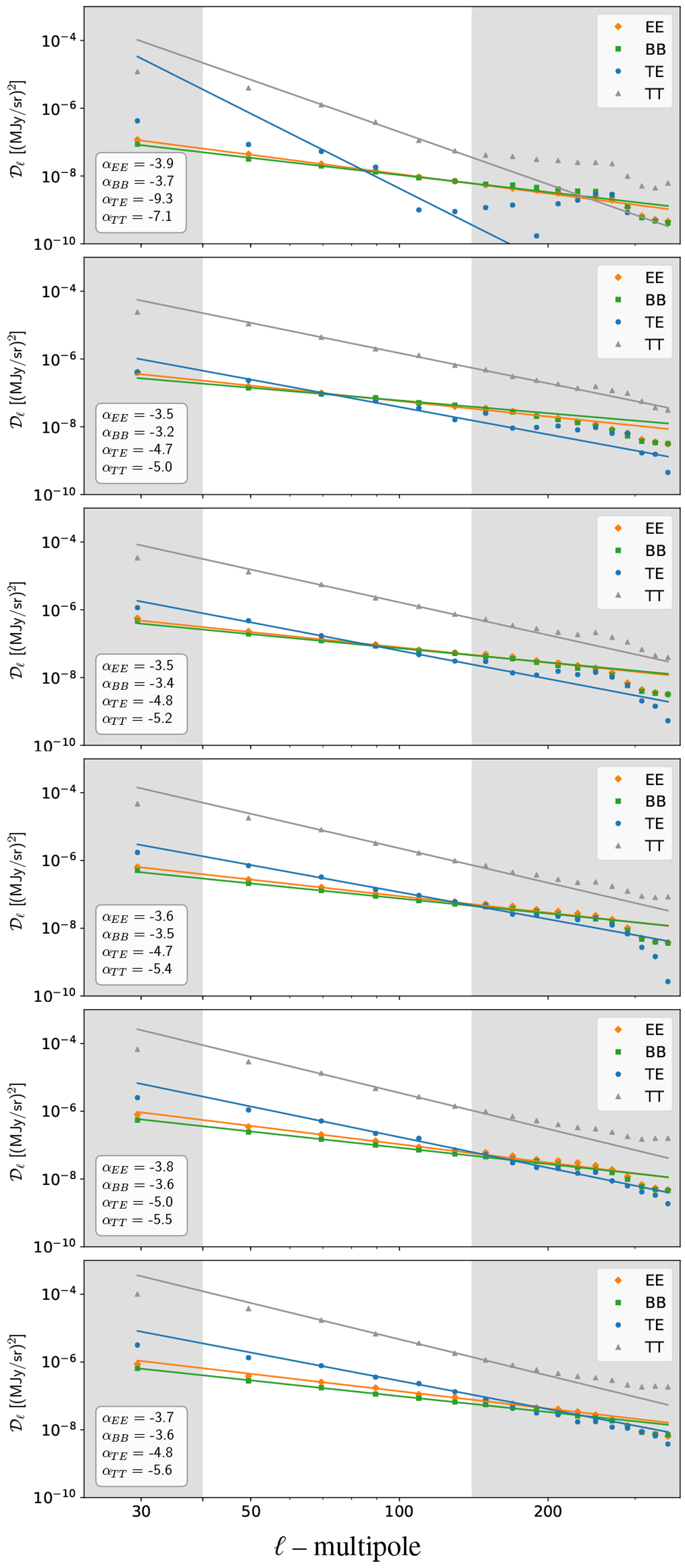
Fig. 3

image

Download original image

Examples of polarization (pseudo) power spectra () obtained for the polarization maps shown in Fig. 2 and for the six values of the retained sky fraction (fsky) in the analysis; from 0.2 to 0.7 (top to bottom). The gray-shaded areas are excluded from our analysis as explained in the text. The straight lines are power-law power spectra fitted in the white area, i.e. the range 60 ≤ ≤140.

Current usage metrics show cumulative count of Article Views (full-text article views including HTML views, PDF and ePub downloads, according to the available data) and Abstracts Views on Vision4Press platform.

Data correspond to usage on the plateform after 2015. The current usage metrics is available 48-96 hours after online publication and is updated daily on week days.

Initial download of the metrics may take a while.