Free Access

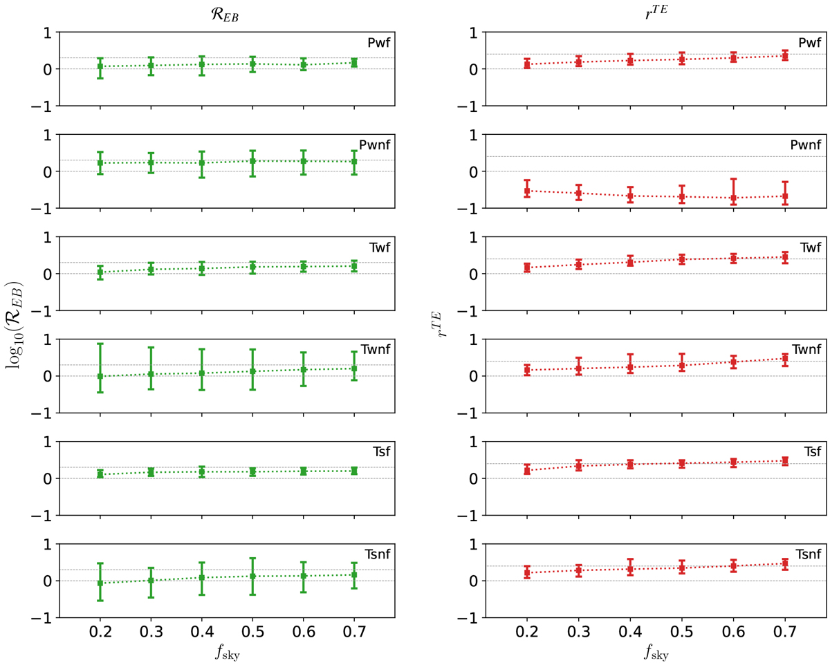
Fig. 6

image

Download original image

Summarizing statistics of (left) and rTE (right) per galaxy and per sky fraction fsky. Asymmetric error bars around the median encompass 68% of the data points. For visual reference, the horizontal dashed lines mark the values of and 2 to the left and rTE = 0 and 0.4 to the right.

Current usage metrics show cumulative count of Article Views (full-text article views including HTML views, PDF and ePub downloads, according to the available data) and Abstracts Views on Vision4Press platform.

Data correspond to usage on the plateform after 2015. The current usage metrics is available 48-96 hours after online publication and is updated daily on week days.

Initial download of the metrics may take a while.