Open Access

Fig. 2

image

Download original image

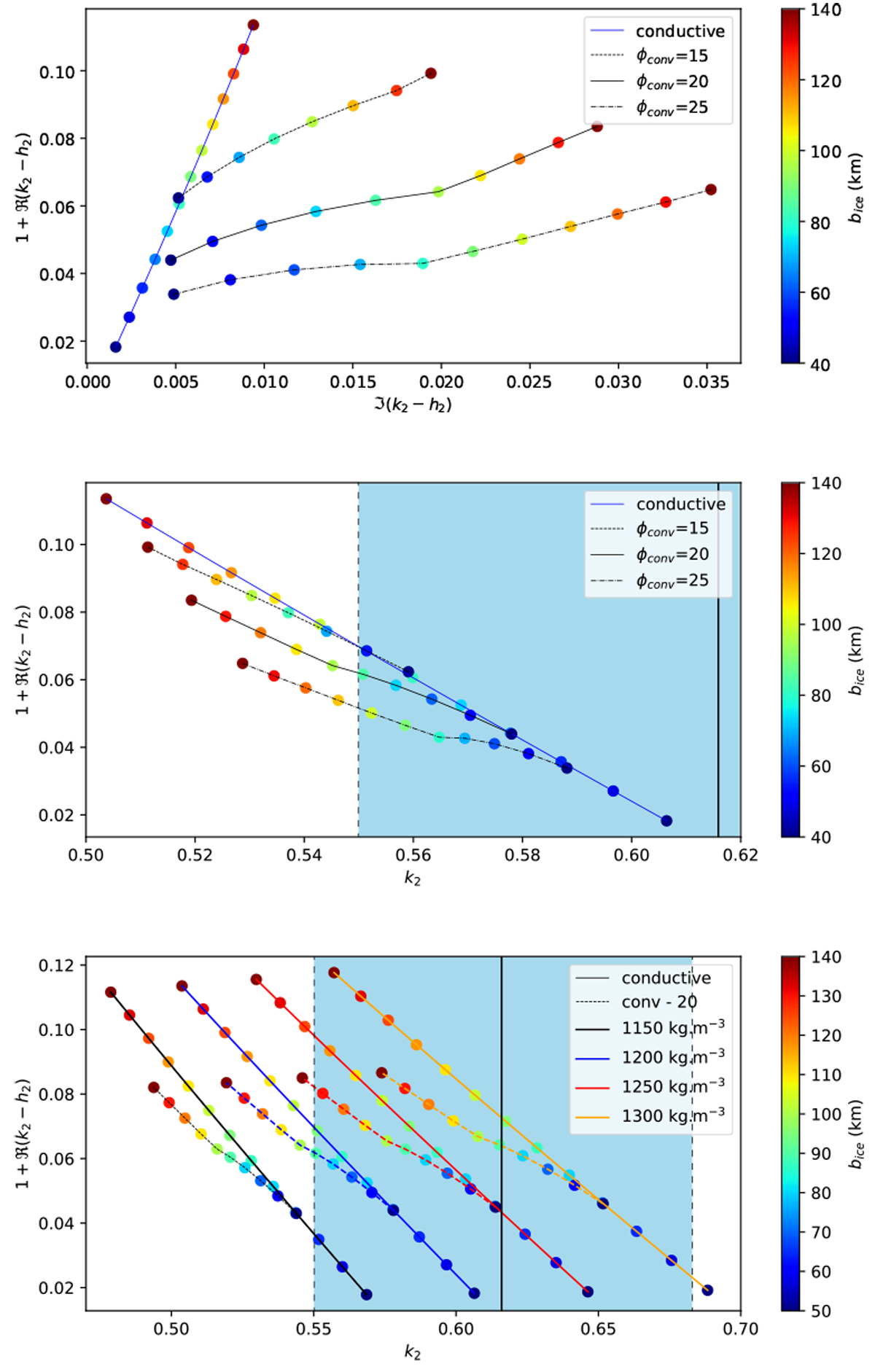
Titan’s values of 1 + (k2h2), (k2h2), and (k2) as functions of the ice shell thickness, the convective flux (given in mW m−2), and the internal ocean density. The average ocean density was fixed at 1200 kg m−3 for the top and the middle panels. The blue area in the middle and bottom panels shows the values compatible with Cassini data at 1-sigma ((k2) = 0.549–0.683).

Current usage metrics show cumulative count of Article Views (full-text article views including HTML views, PDF and ePub downloads, according to the available data) and Abstracts Views on Vision4Press platform.

Data correspond to usage on the plateform after 2015. The current usage metrics is available 48-96 hours after online publication and is updated daily on week days.

Initial download of the metrics may take a while.