Free Access

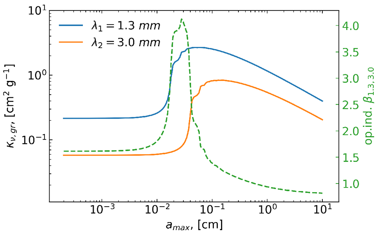
Fig. 10

image

Download original image

Dependence of the absorption opacity κν,gr (blue and orange lines) and the opacity index β (dashed green line) on the maximum size of grown dust amax. Two wavelengths of λ1 = 1.3 mm and λ2 = 3.0 mm are considered, which correspond to the ALMA Band 6 and 3, respectively.

Current usage metrics show cumulative count of Article Views (full-text article views including HTML views, PDF and ePub downloads, according to the available data) and Abstracts Views on Vision4Press platform.

Data correspond to usage on the plateform after 2015. The current usage metrics is available 48-96 hours after online publication and is updated daily on week days.

Initial download of the metrics may take a while.