Free Access

Fig. 2.

image

Download original image

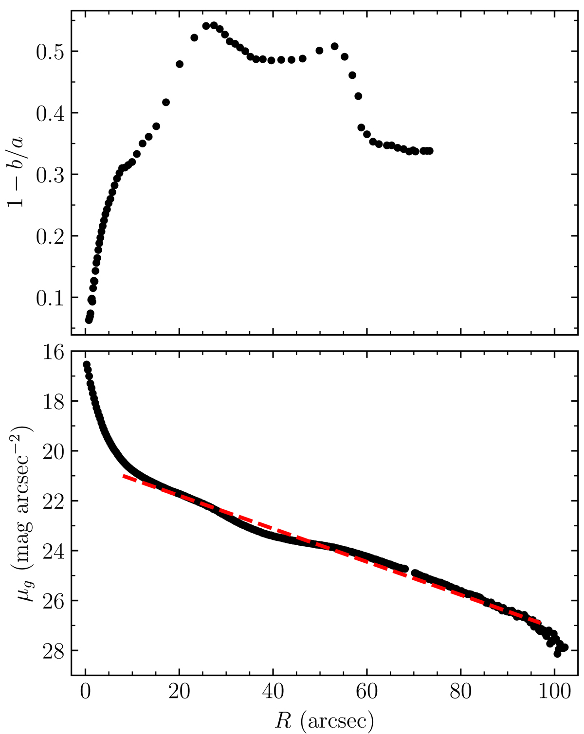
Isophote ellipticity radial profiles and the azimuthally averaged surface brightness profile in the g band fit by an exponential law over the full disk-dominated area. Error bars are not shown because they are smaller than the size of the symbols.

Current usage metrics show cumulative count of Article Views (full-text article views including HTML views, PDF and ePub downloads, according to the available data) and Abstracts Views on Vision4Press platform.

Data correspond to usage on the plateform after 2015. The current usage metrics is available 48-96 hours after online publication and is updated daily on week days.

Initial download of the metrics may take a while.