Open Access

Fig. 10

image

Download original image

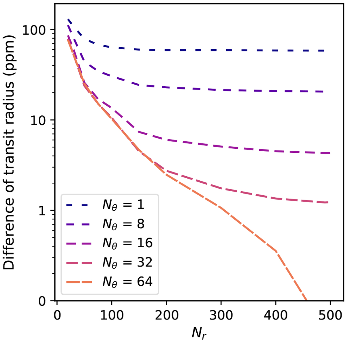
Convergence of Pytmosph3R when the number of rays [] crossing the atmosphere is increased, using as a reference point the converged model ([] = [500 × 64]). The simulation is a GCM with an equilibrium temperature K based on the characteristics of WASP-121b, and including TiO and VO. The number of cells in this simulation is .

Current usage metrics show cumulative count of Article Views (full-text article views including HTML views, PDF and ePub downloads, according to the available data) and Abstracts Views on Vision4Press platform.

Data correspond to usage on the plateform after 2015. The current usage metrics is available 48-96 hours after online publication and is updated daily on week days.

Initial download of the metrics may take a while.