Open Access

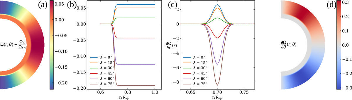
Fig. 1.

image

Download original image

Solar differential rotation shown with a meridional cut (a) and with radial profiles at different latitudes λ (b); (c) and (d) show the radial and latitudinal shear respectively, responsible for the so-called Ω-effect. Profiles are represented in the frame rotating to ΩC.

Current usage metrics show cumulative count of Article Views (full-text article views including HTML views, PDF and ePub downloads, according to the available data) and Abstracts Views on Vision4Press platform.

Data correspond to usage on the plateform after 2015. The current usage metrics is available 48-96 hours after online publication and is updated daily on week days.

Initial download of the metrics may take a while.