Free Access

Fig. 23

image

Download original image

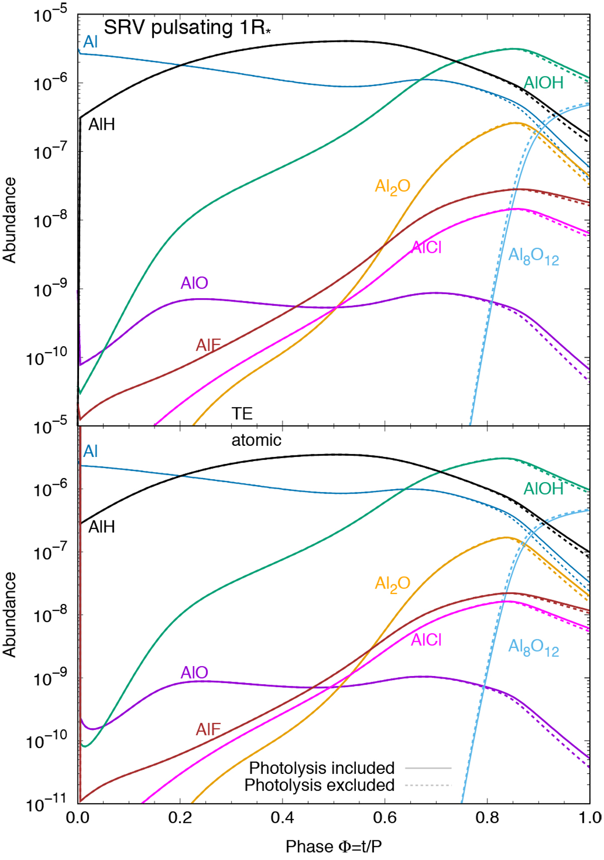
Kinetic abundances of aluminium-bearing species in the post-shock gas at 1 R of the pulsating SRV model as a function of pulsation phase, Φ. Dashed lines show the abundances when the photodissociation is excluded.Upper panel: initial abundances given by chemical equilibrium (TE). Lower panel: initial abundances corresponding to a pure atomic gas composition.

Current usage metrics show cumulative count of Article Views (full-text article views including HTML views, PDF and ePub downloads, according to the available data) and Abstracts Views on Vision4Press platform.

Data correspond to usage on the plateform after 2015. The current usage metrics is available 48-96 hours after online publication and is updated daily on week days.

Initial download of the metrics may take a while.