Open Access

Fig. 3.

image

Download original image

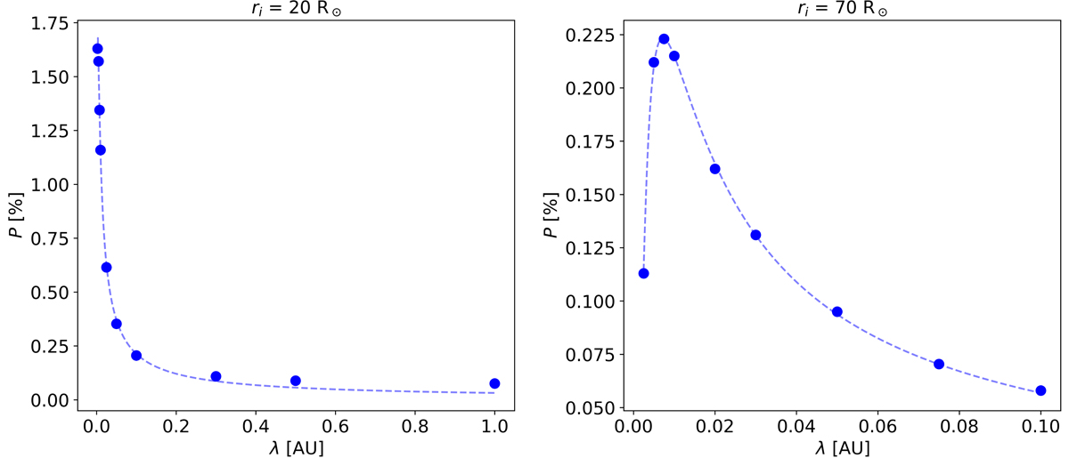
Instantaneous precipitation fraction (P) versus scattering mean free path (λ). Left panel: instantaneous precipitation fraction (P) versus scattering mean free path λ from simulations with durations of 24 h, where protons were injected at a height of ri = 20 R, and λ ranges from λ = 0.0025 AU to λ = 1.0 AU. The solar wind speed is vsw = 500 km s−1. Right panel: P versus λ for injections at 70 R. Scattering mean free paths range from λ = 0.0025 AU to λ = 0.1 AU. Both panels were fitted with curves of the form of Eq. (6) with the left panel having constants; a = 0.0318 AU, b = 0.8287 and c = 0.0027 AU, and the right panel having constants; a = 0.0094 AU, b = 0.8054 and c = 0.0058 AU.

Current usage metrics show cumulative count of Article Views (full-text article views including HTML views, PDF and ePub downloads, according to the available data) and Abstracts Views on Vision4Press platform.

Data correspond to usage on the plateform after 2015. The current usage metrics is available 48-96 hours after online publication and is updated daily on week days.

Initial download of the metrics may take a while.