Free Access

Fig. 9.

image

Download original image

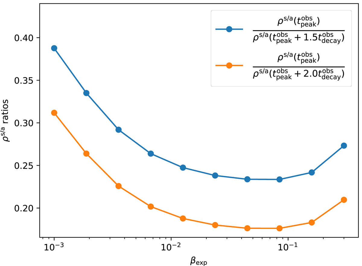
Ratio of the synchrotron to adiabatic cooling timescales ρs/a(t) = tsync(t)/tad(t) for the Lorentz factor of the electrons most contributing to the observed 15 GHz frequency, evaluated at and (blue line), and evaluated at and (orange line). The same values of βexp are used as reported in Fig. 8.

Current usage metrics show cumulative count of Article Views (full-text article views including HTML views, PDF and ePub downloads, according to the available data) and Abstracts Views on Vision4Press platform.

Data correspond to usage on the plateform after 2015. The current usage metrics is available 48-96 hours after online publication and is updated daily on week days.

Initial download of the metrics may take a while.