Open Access

Fig. 8.

image

Download original image

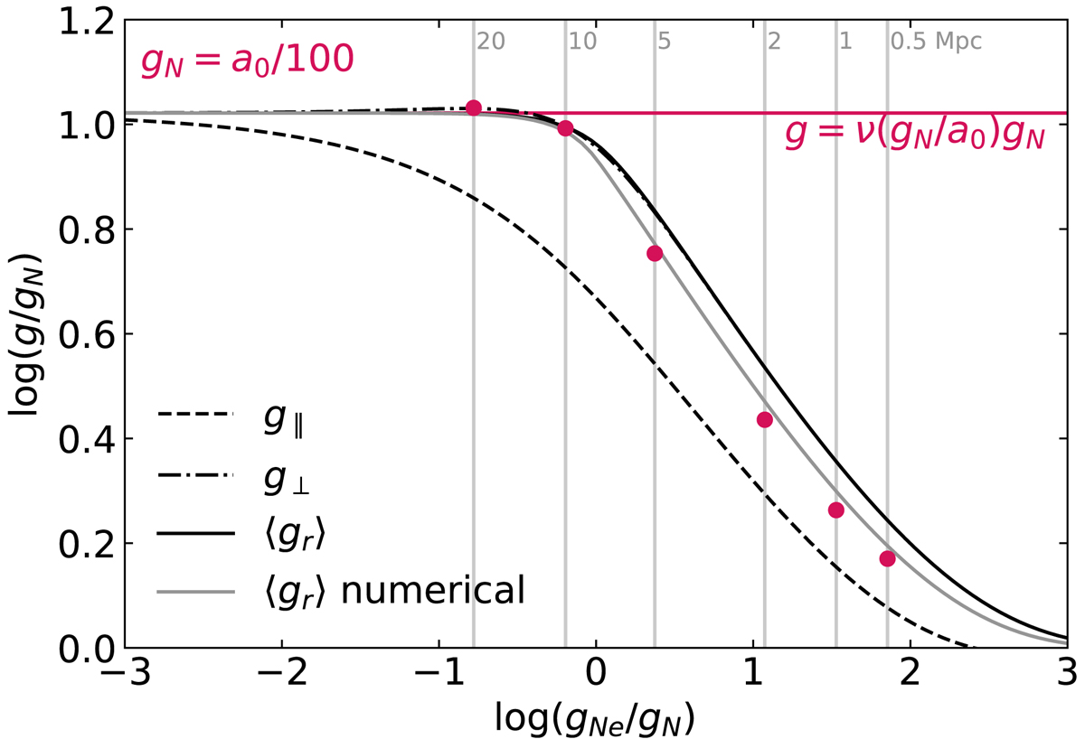
MOND gravitational acceleration g stemming from the different analytic formulae as a function of the Newtonian external field gNe, for a given internal Newtonian acceleration gN = a0/100. The magenta data points correspond to the radial acceleration field where gN = a0/100 in the QUMOND numerical integrations plotted in Fig. A.1, which consider a Plummer sphere at distances d = 0.5, 1, 2, 5, 10, and 20 Mpc (from right to left) from a point mass representing the Coma cluster. We refer the reader to Fig. A.1 for the values of gNe corresponding to each distance d within the Coma cluster. The grey line corresponds to a numerical integration of the average radial acceleration of Eq. (24).

Current usage metrics show cumulative count of Article Views (full-text article views including HTML views, PDF and ePub downloads, according to the available data) and Abstracts Views on Vision4Press platform.

Data correspond to usage on the plateform after 2015. The current usage metrics is available 48-96 hours after online publication and is updated daily on week days.

Initial download of the metrics may take a while.