Free Access

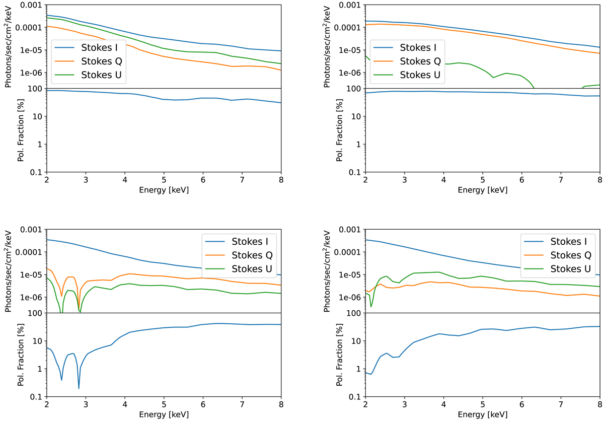
Fig. 5.

image

Download original image

Absolute value of Stokes I, Q and U parameters (top panels) and linear polarization fraction (lower panels) for the blackbody model (top left), magnetized atmosphere model (top right), free-ions condensed surface (bottom left), and fixed-ions condensed surface (bottom right). For all models, the results for phase bin 3 are shown.

Current usage metrics show cumulative count of Article Views (full-text article views including HTML views, PDF and ePub downloads, according to the available data) and Abstracts Views on Vision4Press platform.

Data correspond to usage on the plateform after 2015. The current usage metrics is available 48-96 hours after online publication and is updated daily on week days.

Initial download of the metrics may take a while.