Free Access

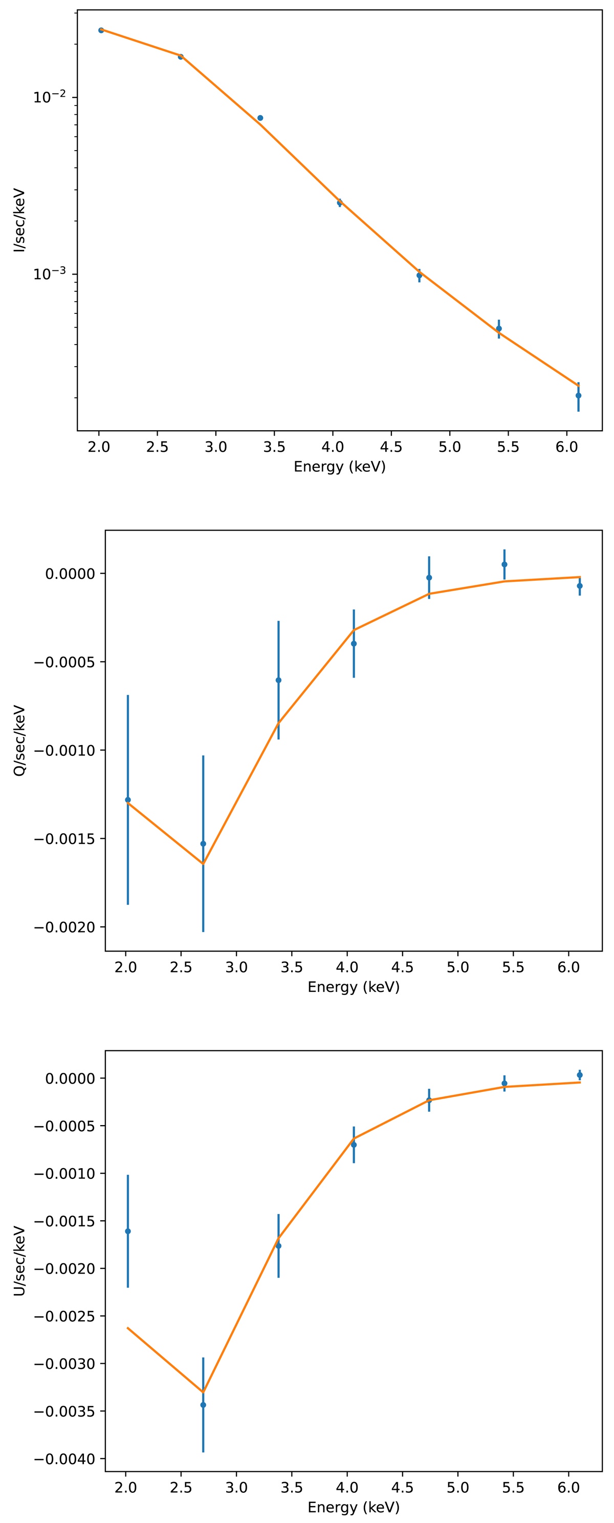
Fig. 6.

image

Download original image

Simulated 200 ksec IXPE observations of AXP 1RXS J170849.0−400910 for the blackbody model showing the Stokes I (top), Stokes Q (center) and Stokes U (bottom) energy spectra for phase bin 3. The blue data points are the simulated IXPE data, and the orange lines are the best-fit model. For all ten phase bins, the fit gives a χ2 of 195.0 for 202 D.o.F.

Current usage metrics show cumulative count of Article Views (full-text article views including HTML views, PDF and ePub downloads, according to the available data) and Abstracts Views on Vision4Press platform.

Data correspond to usage on the plateform after 2015. The current usage metrics is available 48-96 hours after online publication and is updated daily on week days.

Initial download of the metrics may take a while.