Free Access

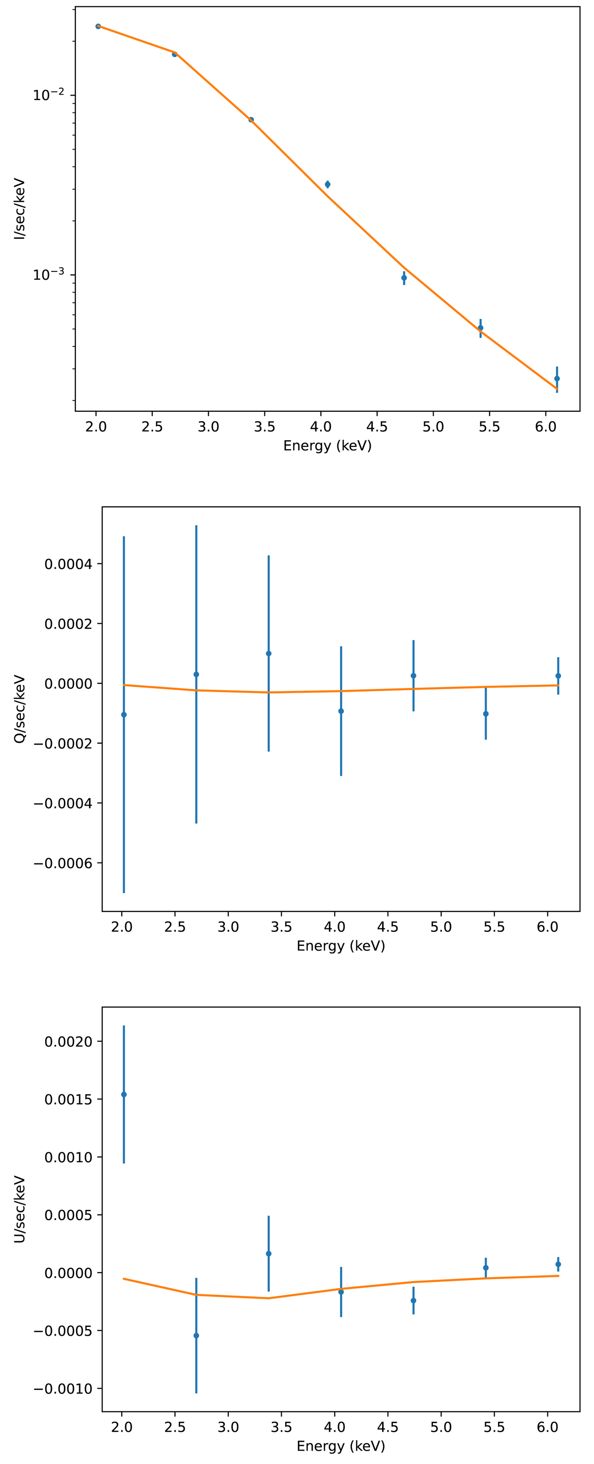
Fig. 8.

image

Download original image

Simulated IXPE observations of AXP 1RXS J170849.0−400910 assuming the best-fit fixed-ions model that fits the actual XMM-Newton data. The blue data points show the simulated IXPE observations, and the orange lines show the best fit model that gives a χ2 of 192.3 for 202 D.o.F.

Current usage metrics show cumulative count of Article Views (full-text article views including HTML views, PDF and ePub downloads, according to the available data) and Abstracts Views on Vision4Press platform.

Data correspond to usage on the plateform after 2015. The current usage metrics is available 48-96 hours after online publication and is updated daily on week days.

Initial download of the metrics may take a while.