Open Access

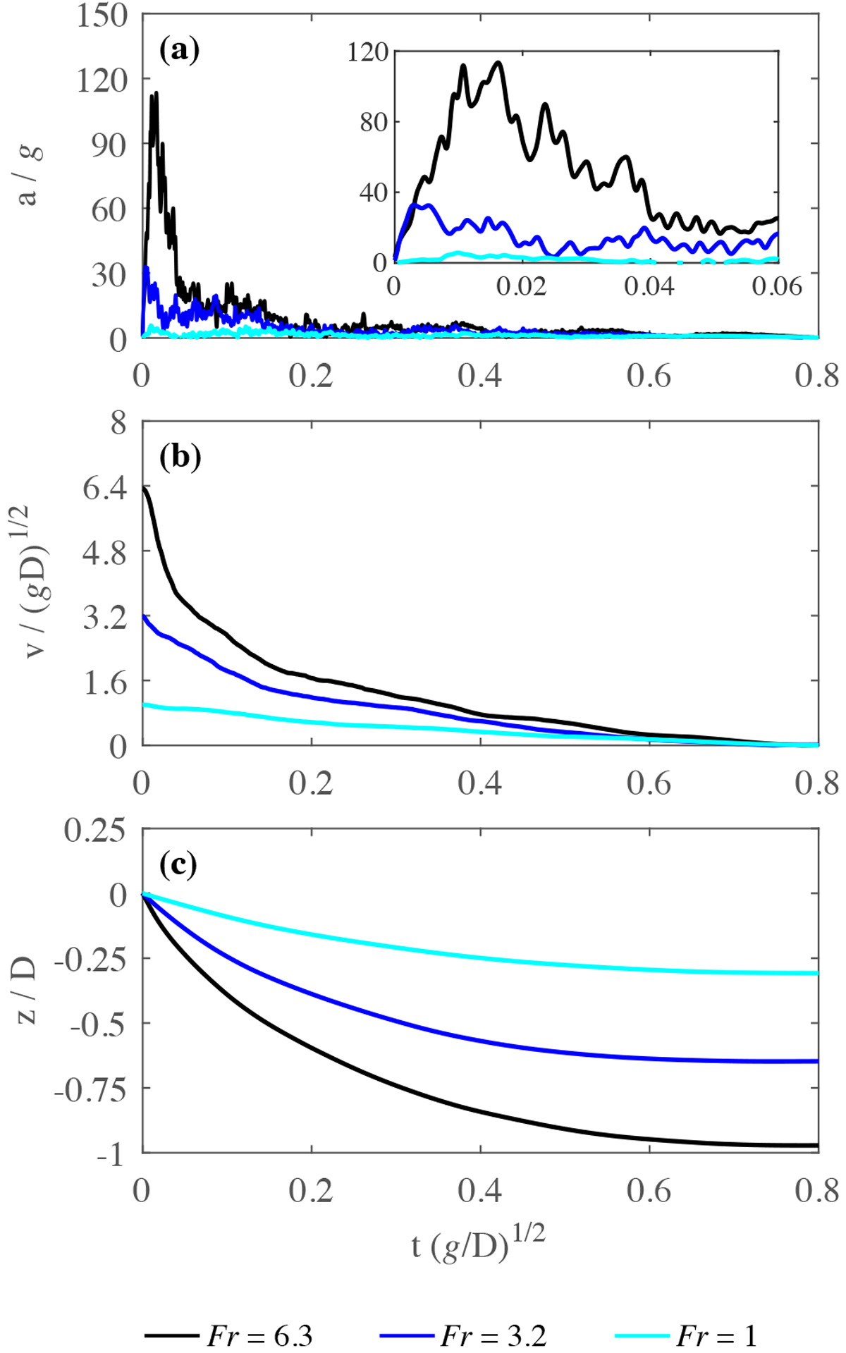
Fig. 10

image

Download original image

Example acceleration, velocity, and position profiles for a 1 kg, 10 cm diameter projectile impacting glass beads at three different Froude values when g = 10 m s−2. The profiles are normalized by gravity g and projectile diameter D as shown. The inset of plot a highlights how the timing of the peak acceleration measurement changes with the impact Froude number.

Current usage metrics show cumulative count of Article Views (full-text article views including HTML views, PDF and ePub downloads, according to the available data) and Abstracts Views on Vision4Press platform.

Data correspond to usage on the plateform after 2015. The current usage metrics is available 48-96 hours after online publication and is updated daily on week days.

Initial download of the metrics may take a while.