Open Access

Fig. 3

image

Download original image

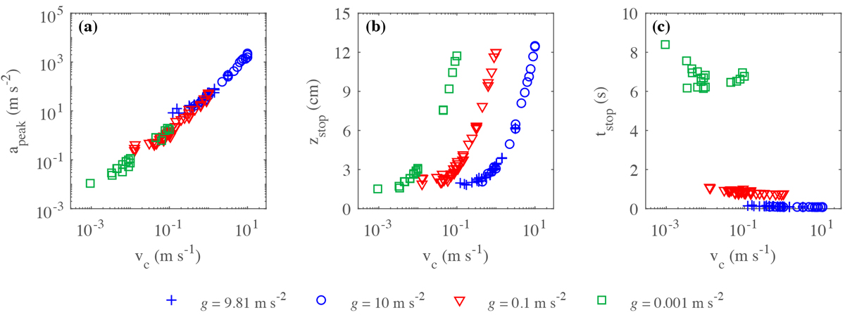
Collision behavior for a 1 kg, 10 cm diameter spherical projectile as a function of collision velocity vc for different gravity levels, where apeak is the peak acceleration, zstop is the penetration depth, and tstop is the collision duration. The measured peak acceleration in plot (a) has a quadratic dependence, but the data is shown on a log-log scale in order to better compare the full range of values.

Current usage metrics show cumulative count of Article Views (full-text article views including HTML views, PDF and ePub downloads, according to the available data) and Abstracts Views on Vision4Press platform.

Data correspond to usage on the plateform after 2015. The current usage metrics is available 48-96 hours after online publication and is updated daily on week days.

Initial download of the metrics may take a while.