Open Access

Fig. 8

image

Download original image

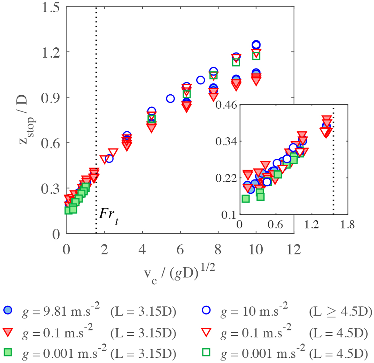
Penetration depth as a function of the Froude number for a 1 kg, 10 cm diameter projectile impacting glass beads under different gravity levels. zstop is the penetration depth, vc is the collision velocity, g is gravity, D is the projectile diameter, and L is the container diameter. The filled symbols correspond to the smallest container size (L = 3.15D) and the opensymbols correspond to the largest container sizes (L = 4.5D, or when g = 10 m s−2, L = 4.5D and L = 6.0D). The vertical dashed line indicates Frt, or the transition from collision regime I to collision regime II, and the plot inset provides a zoomed-in view of the data where Fr ≤ Frt.

Current usage metrics show cumulative count of Article Views (full-text article views including HTML views, PDF and ePub downloads, according to the available data) and Abstracts Views on Vision4Press platform.

Data correspond to usage on the plateform after 2015. The current usage metrics is available 48-96 hours after online publication and is updated daily on week days.

Initial download of the metrics may take a while.