Open Access

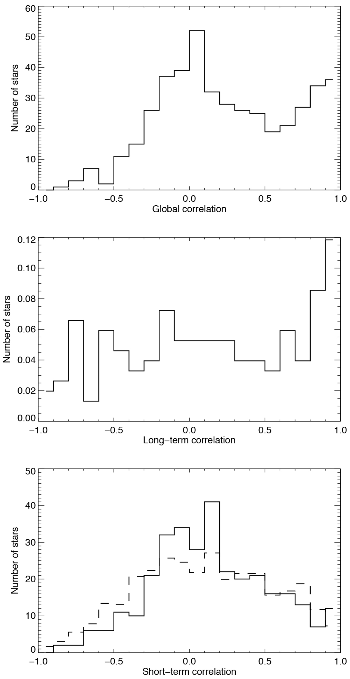
Fig. 6

image

Download original image

Distribution of the correlation values at different temporal scales: global correlation (upper panel), LT correlation (middle panel), individual ST correlations in solid line, and average (for each star) ST correlations in dashed line (lower panel).

Current usage metrics show cumulative count of Article Views (full-text article views including HTML views, PDF and ePub downloads, according to the available data) and Abstracts Views on Vision4Press platform.

Data correspond to usage on the plateform after 2015. The current usage metrics is available 48-96 hours after online publication and is updated daily on week days.

Initial download of the metrics may take a while.