Free Access

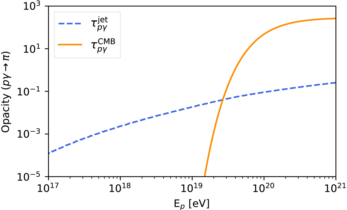
Fig. 1.

image

Download original image

Optical depth of photopion production inside and outside the source emission region for TXS 0506+056. The target photons for interactions inside the jet are leptonic synchrotron and SSC radiation, as shown in Fig. 3 of Gao et al. (2019) for their favored hybrid model. The parameter values given in their supplementary Table 1 for the flare state are used to calculate the photon flux in the comoving jet frame.

Current usage metrics show cumulative count of Article Views (full-text article views including HTML views, PDF and ePub downloads, according to the available data) and Abstracts Views on Vision4Press platform.

Data correspond to usage on the plateform after 2015. The current usage metrics is available 48-96 hours after online publication and is updated daily on week days.

Initial download of the metrics may take a while.