Open Access

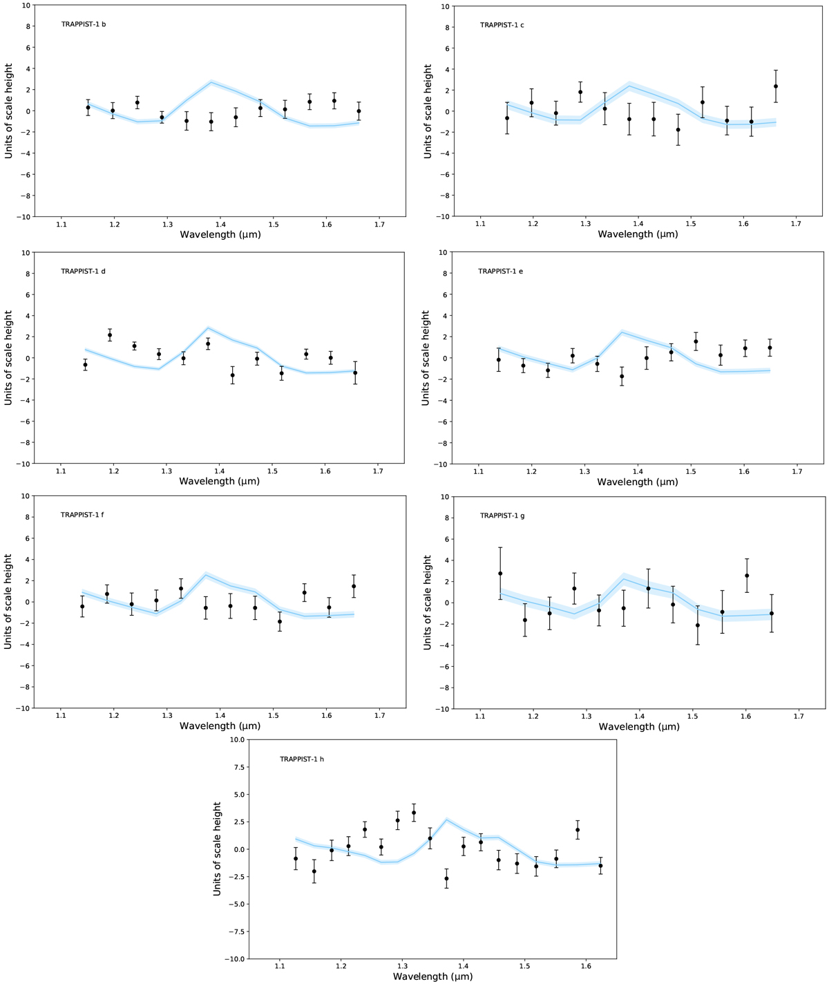
Fig. 7

image

Download original image

Comparison of the best-fit atmospheric results for TRAPPIST-1 planetary spectra in the case of a forced primary clear atmosphere with a volume mixing ratio of water fixed to 10−3 in a H-dominated atmosphere. We used spectra from Zhang et al. (2018) for the TRAPPIST-1 b to g retrievals and present the results in units of scale height.

Current usage metrics show cumulative count of Article Views (full-text article views including HTML views, PDF and ePub downloads, according to the available data) and Abstracts Views on Vision4Press platform.

Data correspond to usage on the plateform after 2015. The current usage metrics is available 48-96 hours after online publication and is updated daily on week days.

Initial download of the metrics may take a while.