Open Access

Fig. 1.

image

Download original image

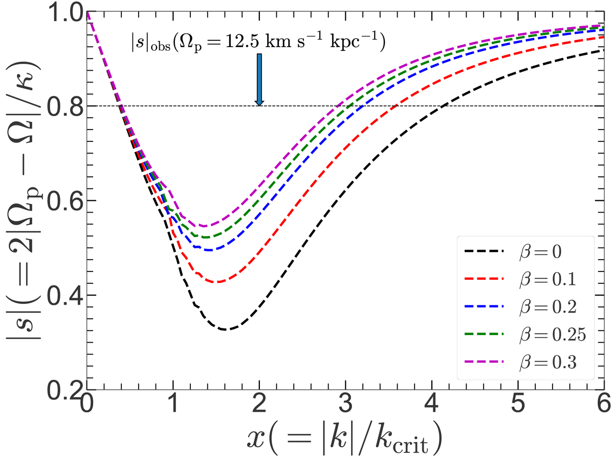
Dispersion relation for a one-component stellar disc (Eq. (44)) shown for Q = 1.1 and for β = 0.1 − 0.3. For comparison, the corresponding dispersion relation for the zero-thickness (or infinitesimally thin) stellar disc is also shown (dashed black line). The horizontal dashed line (in black) denotes the |s|obs value (calculated at R = 8.27 kpc) corresponding to an assumed pattern speed of 12.5 km s−1 kpc−1.

Current usage metrics show cumulative count of Article Views (full-text article views including HTML views, PDF and ePub downloads, according to the available data) and Abstracts Views on Vision4Press platform.

Data correspond to usage on the plateform after 2015. The current usage metrics is available 48-96 hours after online publication and is updated daily on week days.

Initial download of the metrics may take a while.