Open Access

Fig. 3.

image

Download original image

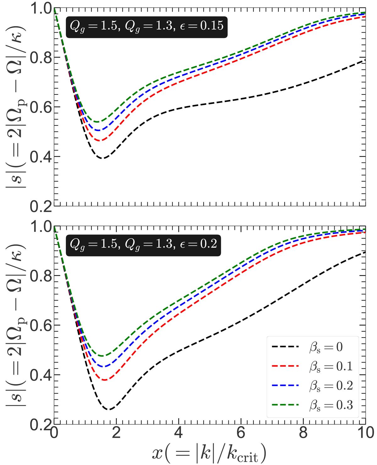
Dispersion relations for the two-component stars plus gas system with finite thickness (Eq. (46)) are shown for Qs = 1.5, Qg = 1.3, and for different gas fractions: ϵ = 0.15 (top panel) and ϵ = 0.2 (bottom panel). The thickness of the stellar disc (βs) is varied from 0.1 to 0.3, whereas the thickness of the gas disc (βg) is kept fixed at 0.1 throughout all cases shown here. For comparison, the corresponding dispersion relation for the zero-thickness stars plus gas system is also shown (dashed black line).

Current usage metrics show cumulative count of Article Views (full-text article views including HTML views, PDF and ePub downloads, according to the available data) and Abstracts Views on Vision4Press platform.

Data correspond to usage on the plateform after 2015. The current usage metrics is available 48-96 hours after online publication and is updated daily on week days.

Initial download of the metrics may take a while.