Free Access

Fig. 15.

image

Download original image

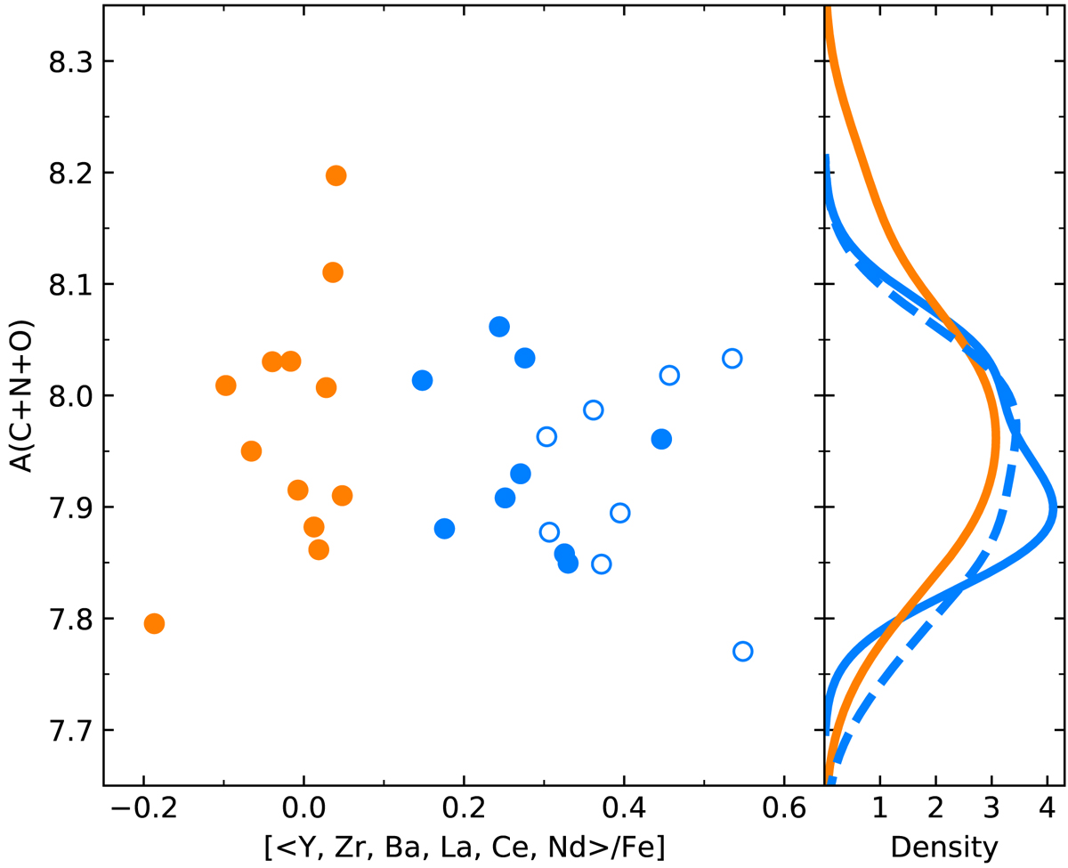
A(C+N+O) abundances in respect to the averaged abundances of the s-process dominated chemical elements. The dashed blue line shows the density with the values marked by the empty symbols. The meaning of symbols is as in Fig. 8. The A(C+N+O) abundances are similar in both populations of NGC 1851 stars.

Current usage metrics show cumulative count of Article Views (full-text article views including HTML views, PDF and ePub downloads, according to the available data) and Abstracts Views on Vision4Press platform.

Data correspond to usage on the plateform after 2015. The current usage metrics is available 48-96 hours after online publication and is updated daily on week days.

Initial download of the metrics may take a while.