Free Access

Fig. 14.

image

Download original image

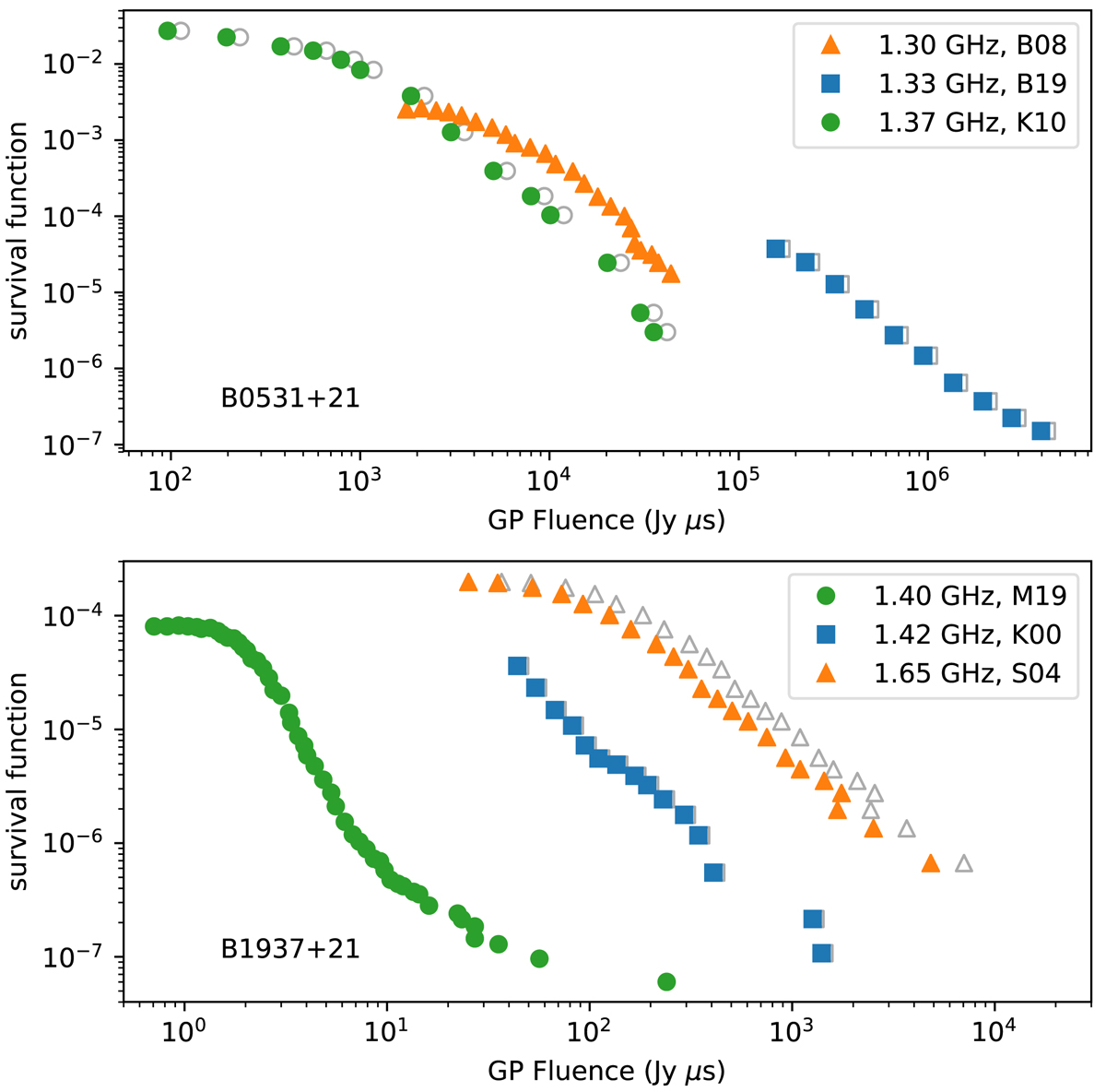
Survival function of the fluence distributions for two most studied GP pulsars, the Crab pulsar PSR B0531+21 and PSR B1937+21 from the works of Bhat et al. (2008, B08), Bera & Chengalur (2019, B19), Karuppusamy et al. (2010, K10), McKee et al. (2019, M19), Kinkhabwala & Thorsett (2000, K00), and Soglasnov et al. (2004, S04). The gray unfilled markers show fluences rescaled to a common frequency (1.3 GHz for the Crab and 1.4 GHz for PSR B1937+21) using broadband spectral fits from Bilous et al. (2016) and Kondratiev et al. (2018).

Current usage metrics show cumulative count of Article Views (full-text article views including HTML views, PDF and ePub downloads, according to the available data) and Abstracts Views on Vision4Press platform.

Data correspond to usage on the plateform after 2015. The current usage metrics is available 48-96 hours after online publication and is updated daily on week days.

Initial download of the metrics may take a while.