Free Access

Fig. 4

image

Download original image

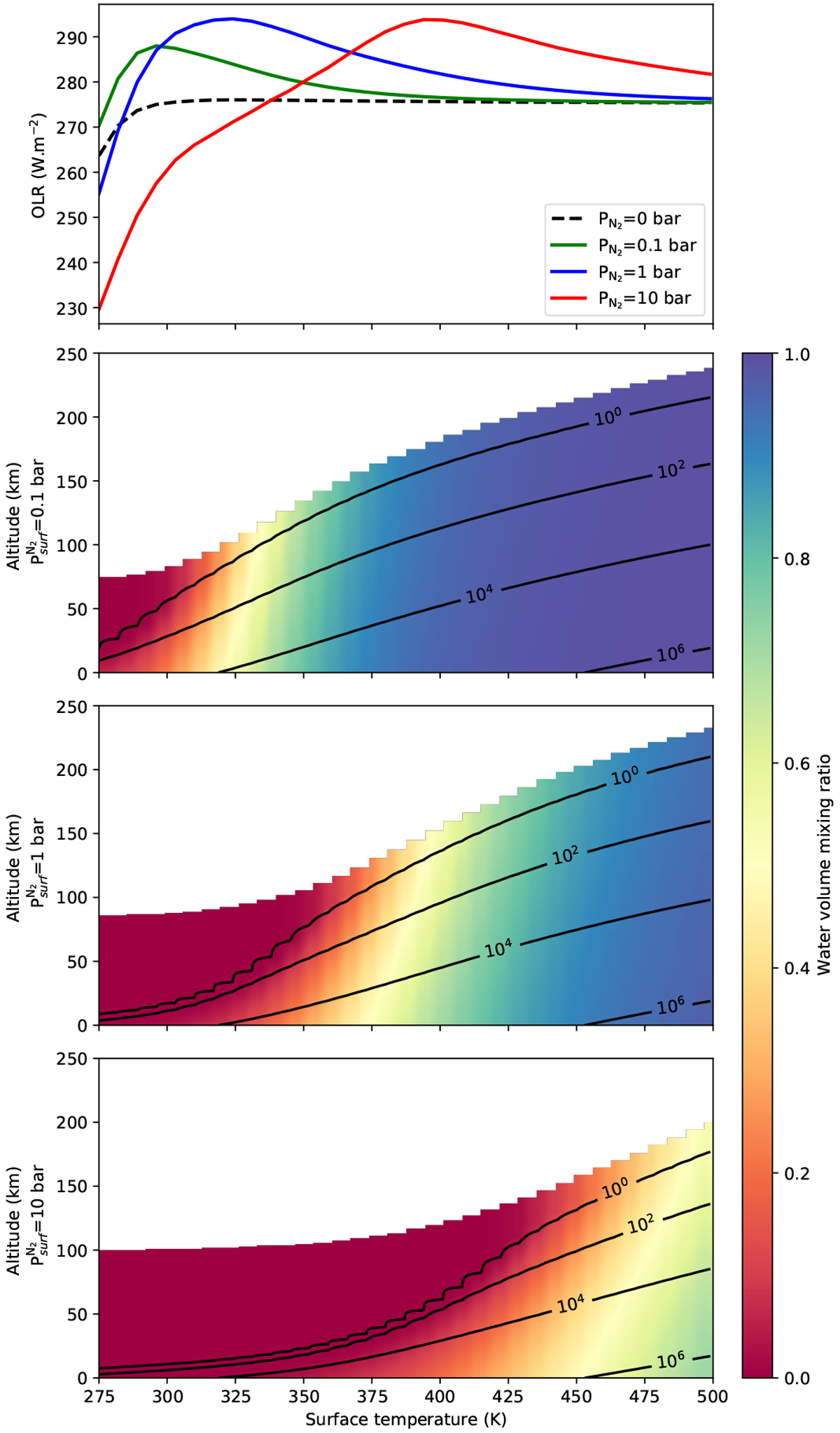
OLR and corresponding atmospheric water content as a function of the surface temperature. The top panel is the OLR as a function of the surface temperature for different nitrogen pressure, computed with PyRADS-Conv1D. The three bottom panels represent the size of the atmosphere (up to 0.1 Pa)for different nitrogen pressures where the colour bar indicates the water-volume-mixing ratio () of each atmospheric level. The contour lines indicate the partial pressure of the water in Pa units.

Current usage metrics show cumulative count of Article Views (full-text article views including HTML views, PDF and ePub downloads, according to the available data) and Abstracts Views on Vision4Press platform.

Data correspond to usage on the plateform after 2015. The current usage metrics is available 48-96 hours after online publication and is updated daily on week days.

Initial download of the metrics may take a while.