Free Access

Fig. 12.

image

Download original image

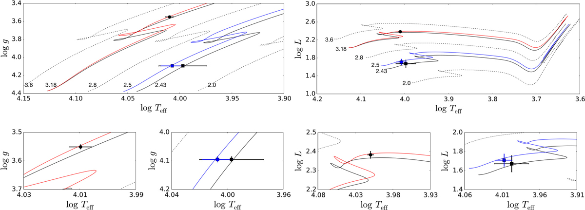
Top: positions of the primary (circle) and secondary (squares) components of α Dra in the Kiel (left column) and HRD (right column) diagrams. The black and blue squares indicate the position of the secondary component corresponding respectively to its photometric and spectroscopic value of Teff. The MESA evolutionary tracks are shown as lines; the exact values of the stellar mass (in M units) are indicated in the plot. The black solid lines correspond to the dynamical masses of the stars and are computed for the overshooting parameter fov = 0.005 Hp. The blue track is the best fit to the spectroscopic Teff of the secondary; the red line indicates a MESA evolutionary track corresponding to the dynamical mass of the primary component and computed with fov = 0.010 Hp. Bottom: close-ups of the primary (left) and secondary (right) components of the binary systems.

Current usage metrics show cumulative count of Article Views (full-text article views including HTML views, PDF and ePub downloads, according to the available data) and Abstracts Views on Vision4Press platform.

Data correspond to usage on the plateform after 2015. The current usage metrics is available 48-96 hours after online publication and is updated daily on week days.

Initial download of the metrics may take a while.