Free Access

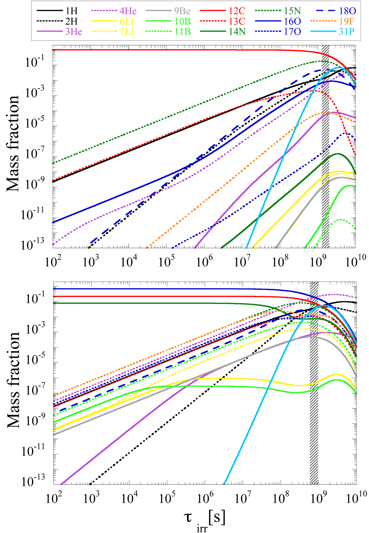
Fig. 1.

image

Download original image

Upper panel: evolution of the mass fractions of light nuclides up to F (including also P) resulting from the specific SEP event of model C_a_03, i.e. of a C target irradiated by α-particles only with Φα = 10−11 mb−1 s−1 and a constant-energy spectrum with E/A ≤ 3 MeV. Lower panel: same for model CNO_a_07, i.e. a CNO target irradiated by α-particles only with Φα = 10−11 mb−1 s−1 and a constant-energy spectrum with 0 ≤ E/A ≤ 7 MeV. The hashed area corresponds to the irradiation time ranges considered to explain the P-rich abundances of both stars.

Current usage metrics show cumulative count of Article Views (full-text article views including HTML views, PDF and ePub downloads, according to the available data) and Abstracts Views on Vision4Press platform.

Data correspond to usage on the plateform after 2015. The current usage metrics is available 48-96 hours after online publication and is updated daily on week days.

Initial download of the metrics may take a while.