Free Access

Fig. 6.

image

Download original image

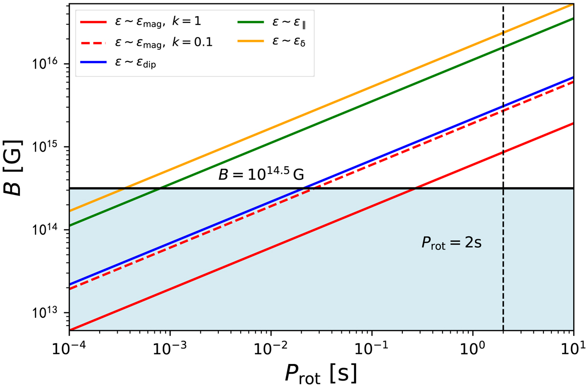
Relation between the rotation period Prot and the magnetic field B introduced in each free precession model. The vertical dashed line shows Prot = 2 s. It is seen that when Prot = 2 s, only the model caused by the internal magnetic field can fit the observation of Bint ≲ 1013.5 − 1014.5 G by adjusting the value of k.

Current usage metrics show cumulative count of Article Views (full-text article views including HTML views, PDF and ePub downloads, according to the available data) and Abstracts Views on Vision4Press platform.

Data correspond to usage on the plateform after 2015. The current usage metrics is available 48-96 hours after online publication and is updated daily on week days.

Initial download of the metrics may take a while.