Free Access

Fig. 8

image

Download original image

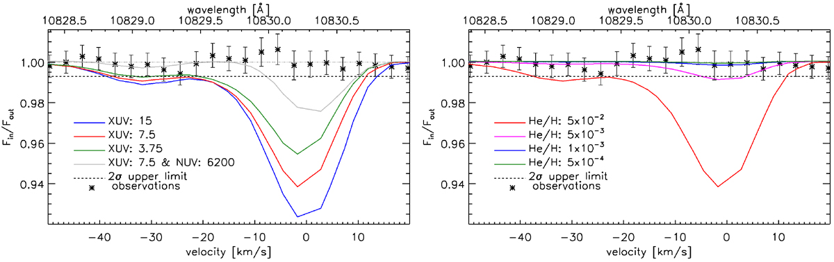
Comparison between simulations and observations. Left: He I (23S) triplet absorption profiles obtained considering three different values of the stellar XUV flux (blue, red, and green lines) at a fixed He abundance of He/H = 0.05 (the fluxes in the legend are at 1 AU and in erg cm−2 s−1) and a 100 times higher value of the stellar NUV flux (grey line).Right: He I (23 S) triplet absorption profiles obtained considering different values of the He abundance. In both panels, the zero Doppler-shifted velocity on the x axis corresponds to a wavelength of 10 830.25 Å, the observed transmission spectrum is shown by black asterisks, and the horizontal dashed line marks the 2σ upper limit derived from the observations. The horizontal dotted line at 1.00 is for reference.

Current usage metrics show cumulative count of Article Views (full-text article views including HTML views, PDF and ePub downloads, according to the available data) and Abstracts Views on Vision4Press platform.

Data correspond to usage on the plateform after 2015. The current usage metrics is available 48-96 hours after online publication and is updated daily on week days.

Initial download of the metrics may take a while.