Free Access

Fig. 10

image

Download original image

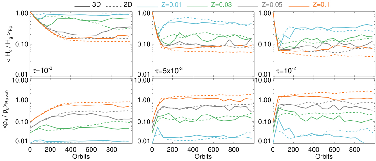
Comparison of the dust settling process in 2D and 3D simulations for different metallicities Z and Stokes numbers τ0. Shown are the ratios of the dust and gas scale heights (upper panels) and the mid-plane dust and gas densities. All quantities are averaged in radius and in 3D simulations also in φ.

Current usage metrics show cumulative count of Article Views (full-text article views including HTML views, PDF and ePub downloads, according to the available data) and Abstracts Views on Vision4Press platform.

Data correspond to usage on the plateform after 2015. The current usage metrics is available 48-96 hours after online publication and is updated daily on week days.

Initial download of the metrics may take a while.