Free Access

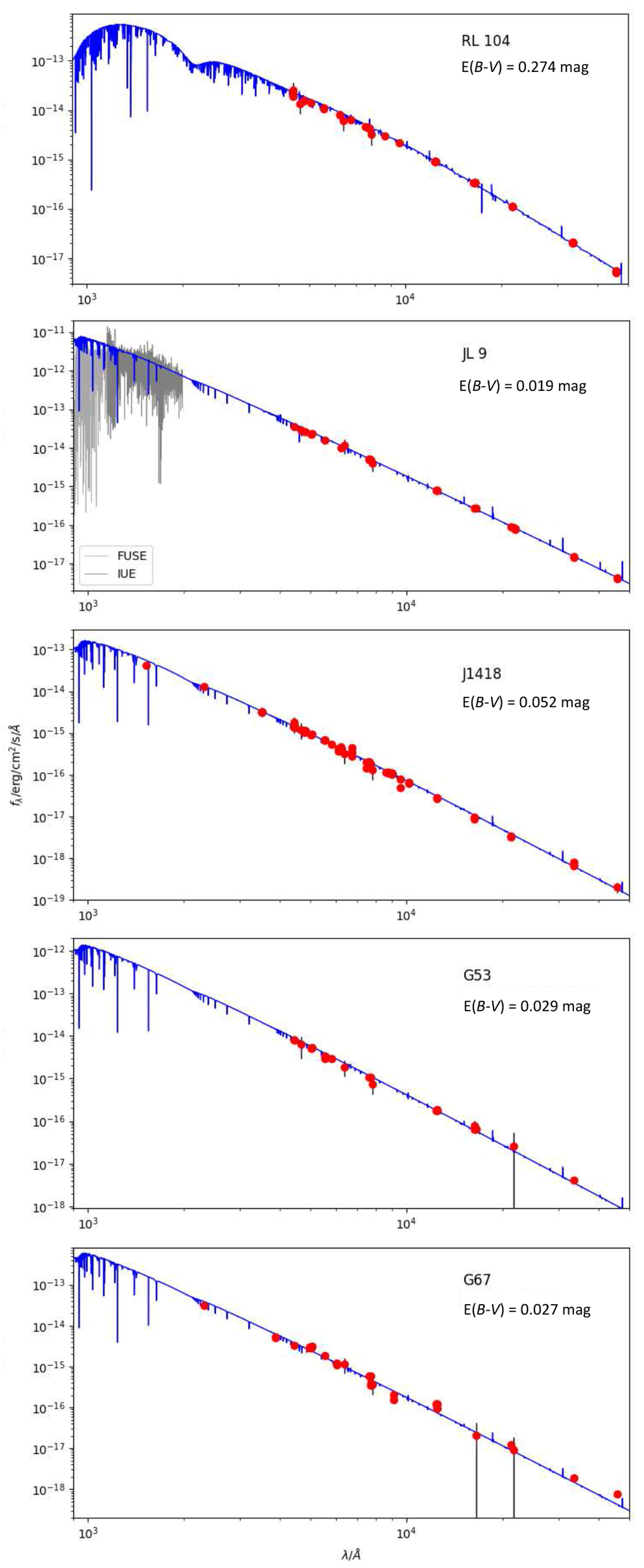
Fig. 10

image

Download original image

Comparison of our best fitting model fluxes (blue) with the observed photometry (red; in the case of JL 9, the FUSE and IUE spectra are shown in grey). The reddening that has been applied to the model fluxes is indicated in each panel.

Current usage metrics show cumulative count of Article Views (full-text article views including HTML views, PDF and ePub downloads, according to the available data) and Abstracts Views on Vision4Press platform.

Data correspond to usage on the plateform after 2015. The current usage metrics is available 48-96 hours after online publication and is updated daily on week days.

Initial download of the metrics may take a while.