Free Access

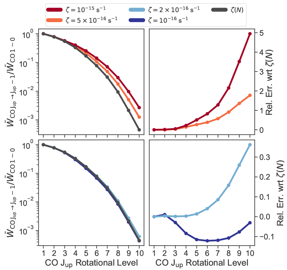
Fig. 14

image

Download original image

CO SLEDS for each of the CRIR models. Left: CO line ratios between higher excitation transitions and the ground transition for the different cosmic-ray ionization rate models.Right: relative error in the CO line ratios for each ζc with respect to the ζ(N) model.

Current usage metrics show cumulative count of Article Views (full-text article views including HTML views, PDF and ePub downloads, according to the available data) and Abstracts Views on Vision4Press platform.

Data correspond to usage on the plateform after 2015. The current usage metrics is available 48-96 hours after online publication and is updated daily on week days.

Initial download of the metrics may take a while.