Open Access

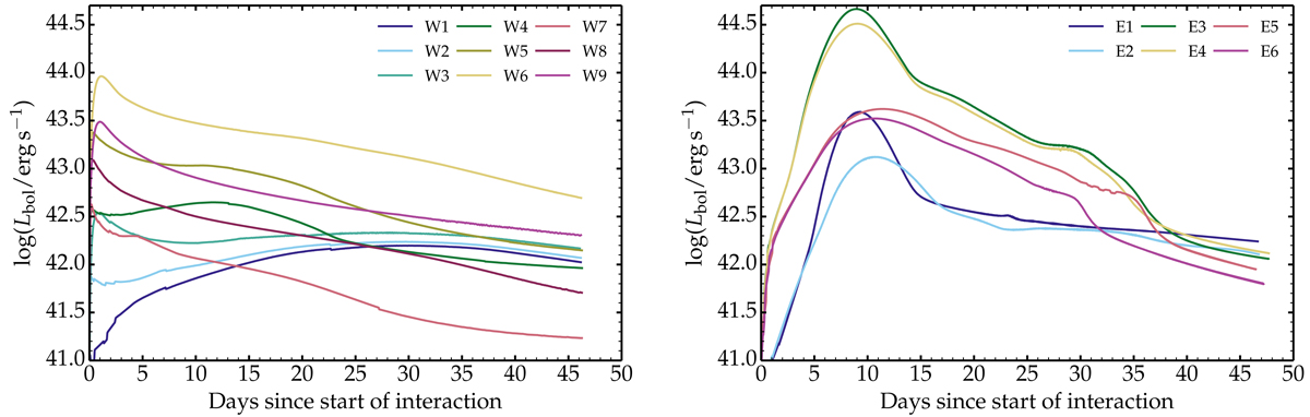
Fig. 3.

image

Download original image

Bolometric light curves computed with HERACLES and for interaction configurations in which the outer shell corresponds to a dense wind (left panel; discussion in Sect. 3.2.1) or to an ejecta (right panel; discussion in Sect. 3.2.2). Interaction configurations are summarized in Table 1.

Current usage metrics show cumulative count of Article Views (full-text article views including HTML views, PDF and ePub downloads, according to the available data) and Abstracts Views on Vision4Press platform.

Data correspond to usage on the plateform after 2015. The current usage metrics is available 48-96 hours after online publication and is updated daily on week days.

Initial download of the metrics may take a while.