Open Access

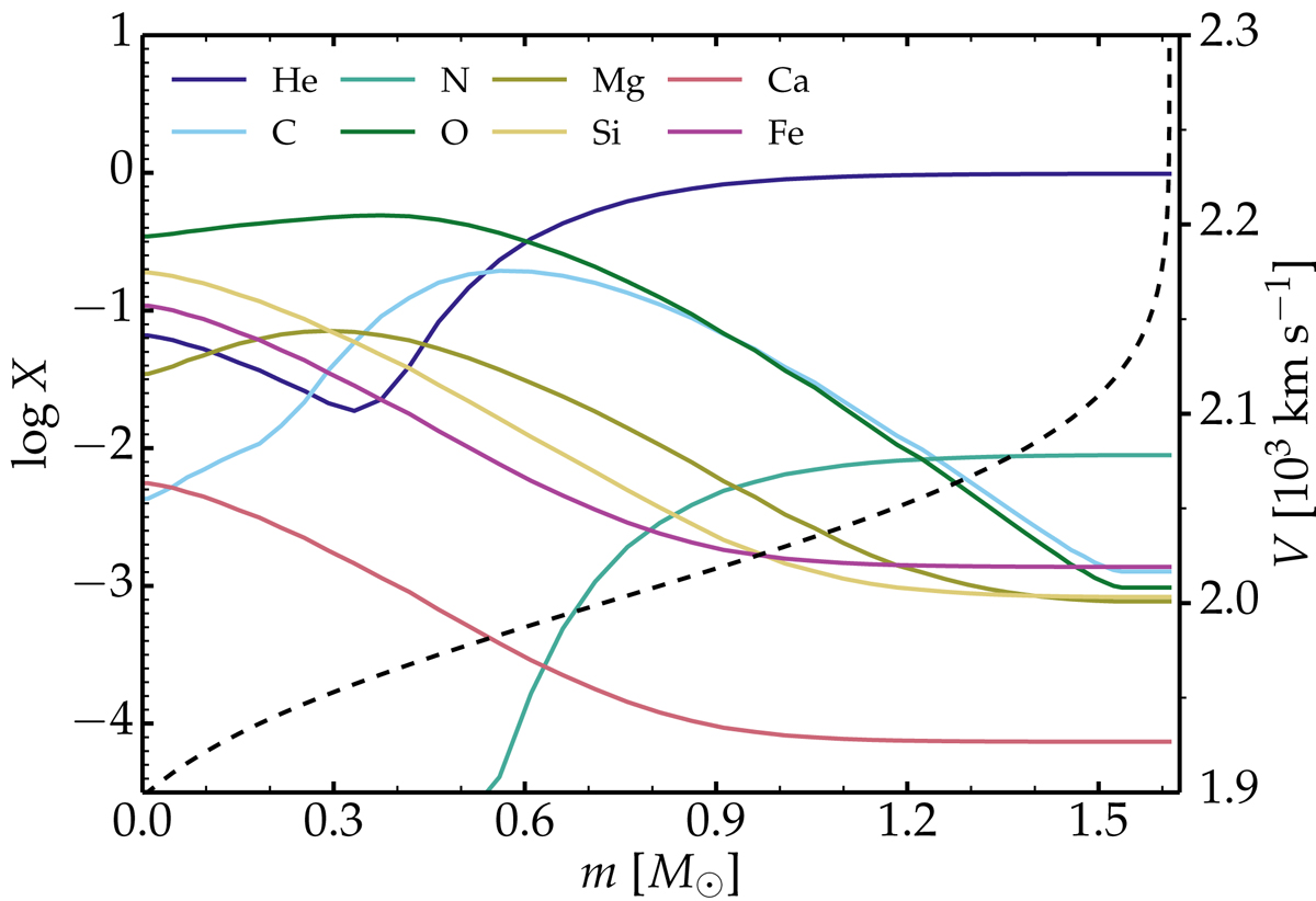
Fig. 4.

image

Download original image

Composition (colored solid lines) and velocity (dashed line) profiles versus Lagrangian mass for the helium-star explosion model he4p0 of Ertl et al. (2020). A boxcar mixing set to 0.06 Mej has been applied four times. Our ansatz assumes that the material from the helium-star explosion and its pre-explosion mass loss has all been swept-up into a dense shell. The adopted density profile of the dense shell is given by a Gaussian with a center at 2000 km s−1 and a standard deviation of 70 km s−1. The density in such a shell is 100–1000 times greater than in the inner ejecta of the he4p0 model without interaction.

Current usage metrics show cumulative count of Article Views (full-text article views including HTML views, PDF and ePub downloads, according to the available data) and Abstracts Views on Vision4Press platform.

Data correspond to usage on the plateform after 2015. The current usage metrics is available 48-96 hours after online publication and is updated daily on week days.

Initial download of the metrics may take a while.