Free Access

Fig. 2

image

Download original image

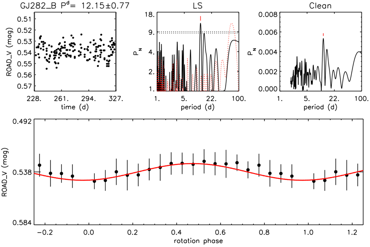
Summary of periodogram analysis for GJ 282B. Top-left panel: V-band magnitudes versus HJD (-2459000). Top-middle panel: LS periodogram. The horizontal dotted lines show the 99.9 and 98% confidence levels, whereas the red dotted line is the spectral window function. Top-right panel: clean periodogram. Bottom panel: light curve phased with the 12.15 d rotation period. The red line is a sinusoidal fit to the phased light curve.

Current usage metrics show cumulative count of Article Views (full-text article views including HTML views, PDF and ePub downloads, according to the available data) and Abstracts Views on Vision4Press platform.

Data correspond to usage on the plateform after 2015. The current usage metrics is available 48-96 hours after online publication and is updated daily on week days.

Initial download of the metrics may take a while.