Free Access

This article has an erratum: [https://doi.org/10.1051/0004-6361/202142441e]


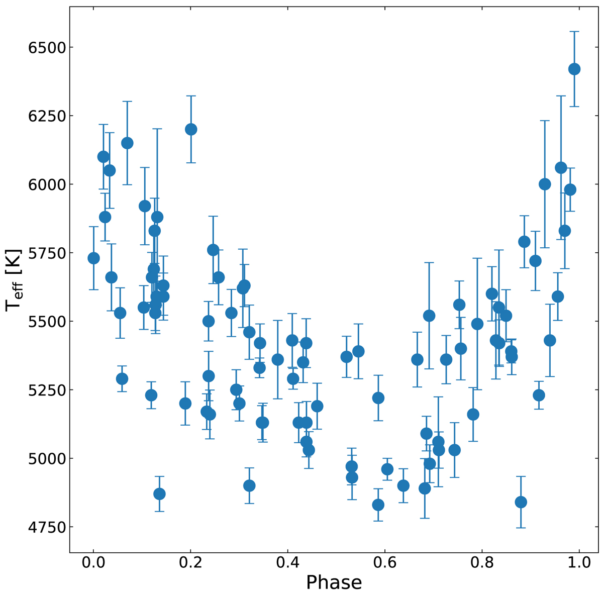
Fig. 7.

image

Download original image

Derived stellar effective temperature (Teff) as a function of the phase along the pulsational cycle within which each star was observed (see Table 3). The size of the mean error on Teff is shown by the error bar in the lower-left corner.

Current usage metrics show cumulative count of Article Views (full-text article views including HTML views, PDF and ePub downloads, according to the available data) and Abstracts Views on Vision4Press platform.

Data correspond to usage on the plateform after 2015. The current usage metrics is available 48-96 hours after online publication and is updated daily on week days.

Initial download of the metrics may take a while.