Open Access

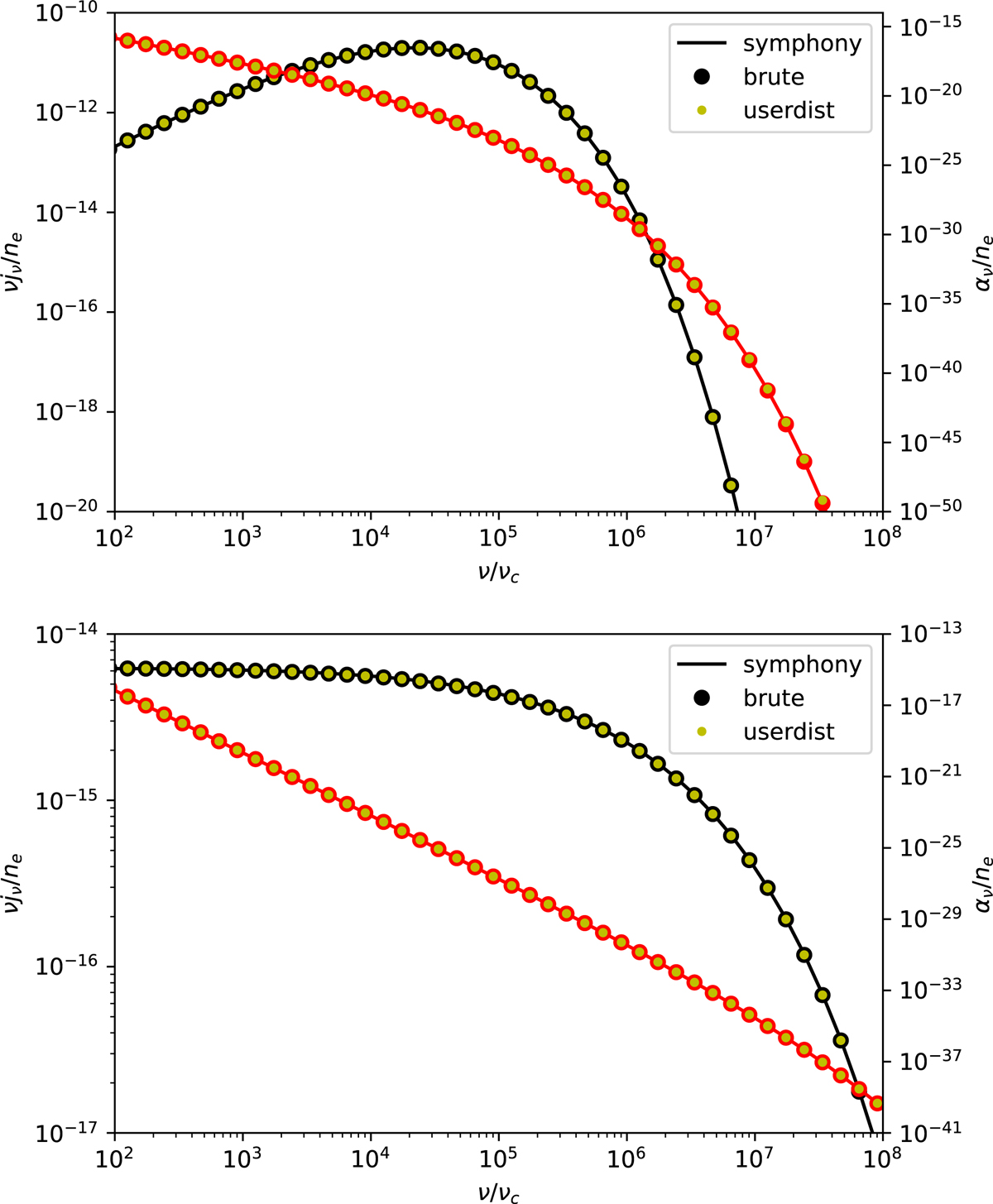
Fig. B.1.

image

Download original image

Numerical computation of synchrotron emissivity (black) and absorption coefficient (red) with the brute and userdist methods in our code. Thermal (top) and power-law (bottom) electron distributions are shown separately with the parameters specified in the text. The results with SYMPHONY are overplotted.

Current usage metrics show cumulative count of Article Views (full-text article views including HTML views, PDF and ePub downloads, according to the available data) and Abstracts Views on Vision4Press platform.

Data correspond to usage on the plateform after 2015. The current usage metrics is available 48-96 hours after online publication and is updated daily on week days.

Initial download of the metrics may take a while.